Please wait a minute...
Journal of Arid Land  2025, Vol. 17 Issue (12): 1649-1668    DOI: 10.1007/s40333-025-0067-x     CSTR: 32276.14.JAL.0250067x
Research article     
Carbon pattern driven by land use/land cover in mountain-desert-oasis complex system
XU Aokang1, SHI Jing2,*(), SUN Zhichang3, MENG Xiangyun4
1Department of Geology, Northwest University, Xi'an 710069, China
2College of Ecology, Lanzhou University, Lanzhou 730000, China
3School of Economics and Management, Beihang University, Beijing 100191, China
4College of Geography and Environmental Science, Northwest Normal University, Lanzhou 730070, China
Download: HTML     PDF(2974KB)
Export: BibTeX | EndNote (RIS)      

Abstract  

Optimizing the spatial pattern of carbon sequestration service is essential for advancing regional low-carbon development, accelerating the achievement of the "dual carbon" goals, and promoting the high-quality development of ecological environment. The carbon sequestration capacity within the mountain-desert-oasis system (MDOS), a unique landscape pattern, exhibits significant gradient characteristics, and its carbon sink potential can be substantially improved through multi-scale spatial optimization. This study employed the Integrated Valuation of Ecosystem Services and Tradeoff (InVEST) model to estimate carbon storage and sequestration (CSS) in the Gansu section of Heihe River Basin, China, a representative MDOS, based on land use/land cover (LULC) data from 1990 to 2020. The Patch-level Land Use Simulation (PLUS) model was coupled to simulate LULC and estimate carrying CSS under natural development (ND), ecological protection (EP), water constraint (WC), and economic development (ED) scenarios for 2035. Furthermore, the study constructed and optimized the CSS pattern on the basis of economic and ecological benefits, exploring the guiding significance of different scenarios for pattern optimization. The results showed that CSS spatial distribution is closely correlated with LULC pattern, and CSS is expected to improve in the future. CSS showed an overall increase across subsystems during 1990-2020, but varied across LULC types. CSS of construction land in all subsystems exhibited an increasing trend, while CSS of unused land showed a decreasing trend, with specific changes of 1.68×103 and 3.43×105 t, respectively. Regional CSS dynamics were mainly driven by conversions among unused land, cultivated land, and grassland. The CSS pattern of MDOS was divided into carbon sink functional region (CSFR), low carbon conservation region (LCCR), low carbon economic region (LCER), and economic development region (EDR). Water resources coordination served as the basis of pattern optimization, while the four dimensions—ecological carbon sink, low-carbon maintenance, agricultural carbon reduction and sink enhancement, and urban carbon emission reduction—framed the optimization framework. ND, EP, WC, and ED scenarios provided guidance as the basic reference, optimal benefit, "dual carbon" baseline, and upper development limit, respectively. Additionally, the detailed CSS sub-partitions of MDOS covered most potential scenarios of such ecosystems, demonstrating the applicability of these sub-partitions. These findings provide valuable references for enhancing CSS and hold important significance for low-carbon territorial spatial planning in the MDOS.



Key wordscarbon storage and sequestration (CSS)      carbon sequestration      land use/land cover (LULC)      future scenarios      mountain-desert-oasis system (MDOS)      Heihe River Basin     
Received: 30 March 2025      Published: 31 December 2025
Corresponding Authors: *SHI Jing (E-mail: shijingxhj@163.com)
Cite this article:

XU Aokang, SHI Jing, SUN Zhichang, MENG Xiangyun. Carbon pattern driven by land use/land cover in mountain-desert-oasis complex system. Journal of Arid Land, 2025, 17(12): 1649-1668.

URL:

http://jal.xjegi.com/10.1007/s40333-025-0067-x     OR     http://jal.xjegi.com/Y2025/V17/I12/1649

Fig. 1 Overview of the Gansu section of Heihe River Basin based on the satellite images. Satellite images are sourced from Geospatial Data Cloud (https://www.gscloud.cn). The administrative boundary is based on the standard map (GS(2023)2767) of the Map Service System (https://bzdt.ch.mnr.gov.cn/), and the standard map has not been modified.
Data type Data name Time span Resolution Data source
Land use Land use/land cover (LULC) 1990, 2000, 2010,
and 2020
30 m Resource and Environmental Science Data Platform
(http://www.resdc.cn)
Natural condition Digital elevation model (DEM) 2020 30 m Geospatial Data Cloud
(http://www.gscloud.cn)
Slope 2020 30 m Extraction based on DEM data
Temperature 2020 1000 m Resource and Environmental Science Data Platform
(http://www.resdc.cn)
Precipitation
Wind erosion
Socio-economic condition Gross domestic product (GDP) 2020 1000 m Resource and Environmental Science Data Platform
(http://www.resdc.cn)
Population
Terrestrial ecosystem types
Location factor Distance from settlements 2020 30 m Extraction based on DEM data
Distance from water
Distance from roads 2020 30 m Resource and Environmental Science Data Platform
(http://www.resdc.cn)
Table 1 Data types and sources
Fig. 2 Research framework of this study. LULC, land use/land cover; DEM, digital elevation model; GDP, gross domestic product; MDOS, mountain-desert-oasis system; PLUS, Patch-level Land Use Simulation; LEAS, land expansion analysis strategy; CARS, CA model based on the multi-type random seed; ND, natural development; EP, ecological protection; WC, water constraint; ED, economic development; CSS, carbon storage and sequestration; InVEST, Integrated Valuation of Ecosystem Services and Tradeoff; ECC, economic contribution coefficient; ESC, ecological support coefficient; CSFR, carbon sink functional region; LCCR, low carbon conservation region; LCER, low carbon economic region; EDR, economic development region.
LULC type Carbon density (t/hm2)
Cabove Cbelow Csoil Cdead
Cultivated land 1.21 16.78 85.66 14.06
Woodland 12.19 24.13 164.39 14.06
Grassland 7.35 17.99 132.84 2.16
Water body 0.66 0.00 0.00 0.00
Construction land 0.55 0.00 0.00 0.00
Unused land 0.22 0.00 23.47 0.00
Table 2 Carbon density data adopted in this study
Fig. 3 Spatial distributions of the driving factors. (a), DEM; (b), slope; (c), temperature; (d), precipitation; (e), wind erosion; (f), GDP; (g), population; (h), distance from roads; (i), distance from water; (j), distance from settlements.
Fig. 4 Spatial distributions of simulated LULC (a1-a5) and actual LULC (b1-b5) in 2020 in the whole basin and four partial regions
Partition type Partition criteria Characteristics
Carbon sink functional region (CSFR) ECC<1 and ESC>1 Strong carbon sequestration capacity, rich carbon sink resources, and low economic efficiency
Low carbon conservation region (LCCR) ECC<1 and ESC<1 Weak carbon effect and low economic efficiency
Low carbon economic region (LCER) ECC>1 and ESC>1 Relatively low carbon sequestration capacity and relatively high economic efficiency, with a green development basis
Economic development region (EDR) ECC>1 and ESC<1 High economic efficiency and carbon emission and low carbon sequestration capacity
Table 3 CSS partitions based on carbon emission economic contribution coefficient (ECC) and ecological support coefficient (ESC)
Fig. 5 Spatial patterns of the mountain (a), desert (b), and oasis (c) systems in the Gansu section of Heihe River Basin. Ring represents the LULC proportion in each subsystem.
Fig. 6 Spatial distributions of LULC in 1990 (a1-a4), 2000 (b1-b4), 2010 (c1-c4), and 2020 (d1-d4), as well as the LULC simulations in 2035 under the ND (e1-e4), EP (f1-f4), WC (g1-g4), and ED (h1-h4) scenarios in the whole basin and three partial regions. Ring represents the LULC proportion.
Fig. 7 Spatial distributions of CSS patterns from 1990 to 2020 (a-d) and CSS dynamics during periods of 1990-2000 (e), 2000-2010 (f), 2010-2020 (g), and 1990-2020 (h), as well as the CSS simulations in 2035 under the ND (i), EP (j), WC (k), and ED (l) scenarios and CSS dynamics during 2020-2035 under the four scenarios (m-p)
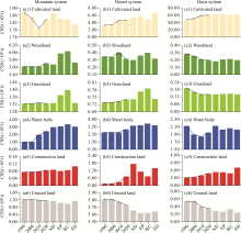
Fig. 8 CSS dynamics of each LULC type in the mountain (a1-a6), desert (b1-b6), and oasis (c1-c6) systems in different years and under different scenarios. The line graph indicates the trend of CSS from 1990 to 2020.
Fig. 9 Spatial distributions of carbon emission ECC (a1) and ESC (a2) and CSS partitions (a3) of MDOS and the reclassification of CSS pattern in the mountain (b1-b4), desert (c1-c4), and oasis (d1-d4) systems. M-CSFR, mountain carbon sink functional region; M-SCSFR, mountain secondary carbon sink functional region; M-LCCR, mountain low carbon conservation region; D-LCCR, desert low carbon conservation region; O-LCER, oasis low carbon economic region; O-EDR, oasis economic development region. Ring represents the proportion of each CSS sub-partition in the corresponding subsystem. For the reclassification of CSS pattern in each subsystem, three partial regions were selected and compared on the basis of LULC maps.
[1]   Alam S A, Starr M, Clark B J F. 2013. Tree biomass and soil organic carbon densities across the Sudanese woodland savannah: A regional carbon sequestration study. Journal of Arid Environments, 89: 67-76.
doi: 10.1016/j.jaridenv.2012.10.002
[2]   Alma M P, Rogelio C N, Florian K, et al. 2018. Identifying effects of land use cover changes and climate change on terrestrial ecosystems and carbon stocks in Mexico. Global Environmental Change, 53: 12-23.
doi: 10.1016/j.gloenvcha.2018.08.004
[3]   Babbar D, Areendran G, Sahana M, et al. 2021. Assessment and prediction of carbon sequestration using Markov chain and InVEST model in Sariska Tiger Reserve, India. Journal of Cleaner Production, 278: 123333, doi:10.1016/j.jclepro.2020.123333.
[4]   Cai Z C, Ding K G, Tsuruta H, et al. 2005. Estimate of CH 4 emissions from year-round flooded rice fields during rice growing season in China. Pedosphere, 15(1): 66-71.
[5]   Cao Y, Zhang M Y, Zhang Z Y, et al. 2024. The impact of land-use change on the ecological environment quality from the perspective of production-living-ecological space: A case study of the northern slope of Tianshan Mountains. Ecological Informatics, 83: 102795, doi:10.1016/j.ecoinf.2024.102795.
[6]   Chemin Y, Platonov A, Ul-Hassan M, et al. 2004. Using remote sensing data for water depletion assessment at administrative and irrigation-system levels: case study of the Ferghana Province of Uzbekistan. Agricultural Water Management, 64(3): 183-196.
doi: 10.1016/S0378-3774(03)00209-9
[7]   Chen G S, Yang Y S, Liu L Z, et al. 2007. Research review on total below ground carbon allocation in forest ecosystems. Journal of Subtropical Resources and Environment, 2(1): 34-42. (in Chinese)
[8]   Chen Y N, Fang G H, Li Z, et al. 2024. The crisis in oases: Research on ecological security and sustainable development in arid regions. Annual Review of Environment and Resources, 49: 1-20.
doi: 10.1146/annurev-environ-111522-105932
[9]   Cheng Y, Xu H H, Chen S M, et al. 2023. Ecosystem services response to the Grain-for-Green Program and urban development in a typical karstland of Southwest China over a 20-year period. Forests, 14(8): 1637, doi:10.3390/f14081637.
[10]   Chuai X W, Yuan Y, Zhang X Y, et al. 2019. Multiangle land use-linked carbon balance examination in Nanjing City, China. Land Use Policy, 84: 305-315.
doi: 10.1016/j.landusepol.2019.03.003
[11]   Duarte G S, Peri P L, Borchard N, et al. 2019. Soils need to be considered when assessing the impacts of land-use change on carbon sequestration. Nature Ecology Evolution, 3: 1642, doi:10.1038/s41559-019-1026-8.
[12]   Fang K, Xu A Q, Wang S Q, et al. 2023. Progress towards sustainable development goals in the Belt and Road Initiative countries. Journal of Cleaner Production, 424: 138808, doi:10.1016/j.jclepro.2023.138808.
[13]   Feng K S, Davis S J, Sun L L, et al. 2015. Drivers of the US CO2 emissions 1997-2013. Nature Communications, 6: 7714, doi:10.1038/ncomms8714.
[14]   Feng Y Z, Yin Z L, Wang L G, et al. 2023. The impacts of climate change and land use change on terrestrial ecosystem carbon storage of Gansu Province from 1980 to 2020. Journal of Desert Research, 43(4): 168-179. (in Chinese)
doi: 10.7522/j.issn.1000-694X.2023.00042
[15]   Figge F, Young W, Barkemeyer R. 2014. Sufficiency or efficiency to achieve lower resource consumption and emissions? The role of the rebound effect. Journal of Cleaner Production, 69: 216-224.
doi: 10.1016/j.jclepro.2014.01.031
[16]   Fu K X, Chen L X, Yu X X, et al. 2024. How has carbon storage changed in the Yili-Tianshan region over the past three decades and into the future? What has driven it to change? Science of the Total Environment, 945: 174005, doi:10.1016/j.scitotenv.2024.174005.
[17]   Gansu Provincial Department of Water Resources. 2000-2020. Gansu Water Resources Bulletin. Lanzhou: Gansu Provincial Department of Water Resources. (in Chinese)
[18]   Gao G Y, Shen Q, Zhang Y, et al. 2018. Determining spatio-temporal variations of ecological water consumption by natural oases for sustainable water resources allocation in a hyper-arid endorheic basin. Journal of Cleaner Production, 185: 1-13.
doi: 10.1016/j.jclepro.2018.03.025
[19]   Gao S, Zhang H Q. 2020. Urban planning for low-carbon sustainable development. Sustainable Computing: Informatics and Systems, 28: 100398, doi:10.1016/j.suscom.2020.100398.
[20]   Gardiner J, Thomson K, Newson M. 1994. Integrated watershed/river catchment planning and management: a comparison of selected Canadian and United Kingdom experiences. Journal of Environmental Planning and Management, 37(1): 53-67.
doi: 10.1080/09640569408711959
[21]   Goldstein J H, Caldarone G, Duarte T K, et al. 2012. Integrating ecosystem-service tradeoffs into land-use decisions. Proceedings of the National Academy of Sciences of the United States of America, 109(19): 7565-7570.
[22]   Gomes E, Inácio M, Bogdzevič K, et al. 2021. Future scenarios impact on land use change and habitat quality in Lithuania. Environmental Research, 197: 111101, doi:10.1016/j.envres.2021.111101.
[23]   Gong B K, Chen B. 2011. The regulation analysis of low-carbon orientation for China land use. In: Li D L, Liu Y D, Chen Y Y. Computer and Computing Technologies in Agriculture IV. CCTA 2010. IFIP Advances in Information and Communication Technology, vol 347. Berlin, Heidelberg: Springer.
[24]   Haberl H, Wackernagel M, Wrbka T. 2004. Land use and sustainability indicators. An introduction. Land Use Policy, 21(3): 193-198.
[25]   He X M, Li J L, Guan J, et al. 2024. Land use dynamics and ecosystem service value changes in the Yangtze River Delta urban agglomeration under different scenarios. Chinese Geographical Science, 34: 1105-1118.
doi: 10.1007/s11769-024-1469-y
[26]   Helbling M, Meierrieks D. 2023. Global warming and urbanization. Journal of Population Economics, 36: 1187-1223.
doi: 10.1007/s00148-022-00924-y
[27]   Hu X T, Li Z H, Cai Y M, et al. 2022. Urban construction land demand prediction and spatial pattern simulation under carbon peak and neutrality goals: A case study of Guangzhou, China. Journal of Geographical Sciences, 32: 2251-2270.
doi: 10.1007/s11442-022-2046-x
[28]   Huang H Z, Jia J S, Chen D L, et al. 2024. Evolution of spatial network structure for land-use carbon emissions and carbon balance zoning in Jiangxi Province: A social network analysis perspective. Ecological Indicators, 158: 111508, doi:10.1016/j.ecolind.2023.111508.
[29]   Jaiarree S, Chidthaisong A, Tangtham N, et al. 2011. Soil organic carbon loss and turnover resulting from forest conversion to maize fields in eastern Thailand. Pedosphere, 21(5): 581-590.
doi: 10.1016/S1002-0160(11)60160-4
[30]   Jiang W G, Deng Y, Tang Z H, et al. 2017. Modelling the potential impacts of urban ecosystem changes on carbon storage under different scenarios by linking the CLUE-S and the InVEST models. Ecological Modelling, 345: 30-40.
doi: 10.1016/j.ecolmodel.2016.12.002
[31]   Khan I, Zhao M J. 2019. Water resource management and public preferences for water ecosystem services: a choice experiment approach for inland river basin management. Science of the Total Environment, 646: 821-831.
doi: 10.1016/j.scitotenv.2018.07.339
[32]   Li H S, Wang Y, Ma M C, et al. 2021. GILT in tumor cells improves T cell-mediated anti-tumor immune surveillance. Immunology Letters, 234: 1-12.
doi: 10.1016/j.imlet.2021.04.001 pmid: 33838181
[33]   Li T, Li J, Wang Y Z. 2019. Carbon sequestration service flow in the Guanzhong-Tianshui economic region of China: How it flows, what drives it, and where could be optimized? Ecological Indicators, 96(1): 548-558.
doi: 10.1016/j.ecolind.2018.09.040
[34]   Liu J M, Pei X T, Zhu W Y, et al. 2023. Multi-scenario simulation of carbon budget balance in arid and semi-arid regions. Journal of Environmental Management, 346: 119016, doi:10.1016/j.jenvman.2023.119016.
[35]   Liu Q, Yang D D, Cao L, et al. 2022. Assessment and prediction of carbon storage based on land use/land cover dynamics in the tropics: A case study of Hainan Island, China. Land, 11(2): 244, doi:10.3390/land11020244.
[36]   Liu Z J, Liu Y S, Wang J Y. 2021. A global analysis of agricultural productivity and water resource consumption changes over cropland expansion regions. Agriculture, Ecosystems & Environment, 321: 107630, doi:10.1016/j.agee.2021.107630.
[37]   Men D, Pan J H. 2024. Incorporating network topology and ecosystem services into the optimization of ecological network: A case study of the Yellow River Basin. Science of the Total Environment, 912: 169004, doi:10.1016/j.scitotenv.2023.169004.
[38]   Piyathilake I D U H, Udayakumara E P N, Ranaweera L V, et al. 2022. Modeling predictive assessment of carbon storage using InVEST model in Uva Province, Sri Lanka. Modeling Earth Systems and Environment, 8: 2213-2223.
doi: 10.1007/s40808-021-01207-3
[39]   Qiu D D, Zhu G F, Lin X R, et al. 2023. Dissipation and movement of soil water in artificial forest in arid oasis areas: Cognition based on stable isotopes. CATENA, 228: 107178, doi:10.1016/j.catena.2023.107178.
[40]   Regnier P, Resplandy L, Najjar R G, et al. 2022. The land-to-ocean loops of the global carbon cycle. Nature, 603: 401-410.
doi: 10.1038/s41586-021-04339-9
[41]   Rong T Q, Zhang P Y, Zhu H R, et al. 2022. Spatial correlation evolution and prediction scenario of land use carbon emissions in China. Ecological Informatics, 71: 101802, doi:10.1016/j.ecoinf.2022.101802.
[42]   Shao Y Q, Jiang Q O, Wang C L, et al. 2020. Analysis of critical land degradation and development processes and their driving mechanism in the Heihe River Basin. Science of the Total Environment, 716: 137082, doi:10.1016/j.scitotenv.2020.137082.
[43]   Shi J, Shi P J, Wang Z Y, et al. 2023. Multi-scenario simulation and driving force analysis of ecosystem service value in arid areas based on PLUS model: A case study of Jiuquan City, China. Land, 12(5): 937, doi:10.3390/land12050937.
[44]   Shi J, Shi P J, Wang Z Y, et al. 2024. Spatial-temporal evolution and prediction of carbon storage in Jiuquan City ecosystem based on PLUS-InVEST model. Environmental Science, 45(1): 300-313. (in Chinese)
doi: 10.1021/es101840s
[45]   Sun B Q, Du J Q, Chong F F, et al. 2023. Spatio-temporal variation and prediction of carbon storage in terrestrial ecosystems in the Yellow River Basin. Remote Sensing, 15(15): 3866, doi:10.3390/rs15153866.
[46]   Tariq A, Sardans J, Zeng F J, et al. 2024. Impact of aridity rise and arid lands expansion on carbon-storing capacity, biodiversity loss, and ecosystem services. Global Change Biology, 30(4): e17292, doi:10.1111/gcb.17292.
[47]   Tilahun E, Haile M, Gebresamuel G, et al. 2022. Spatial and temporal dynamics of soil organic carbon stock and carbon sequestration affected by major land-use conversions in Northwestern highlands of Ethiopia. Geoderma, 406: 115506, doi:10.1016/j.geoderma.2021.115506.
[48]   Vadrevu K P, Ohara T. 2020. Focus on land use cover changes and environmental impacts in South/Southeast Asia. Environmental Research Letters, 15(10): 100201, doi:10.1088/1748-9326/abb5cb.
[49]   Wang X J, Liu G X, Xiang A C, et al. 2023. Terrain gradient response of landscape ecological environment to land use and land cover change in the hilly watershed in South China. Ecological Indicators, 146: 109797, doi:10.1016/j.ecolind.2022.109797.
[50]   Wang Y F, Li M Y, Jin G Z. 2024. Exploring the optimization of spatial patterns for carbon sequestration services based on multi-scenario land use/cover changes in the Changchun-Jilin-Tumen region, China. Journal of Cleaner Production, 438: 140788, doi:10.1016/j.jclepro.2024.140788.
[51]   Wei H J, Xu Z H, Liu H M, et al. 2018. Evaluation on dynamic change and interrelations of ecosystem services in a typical mountain-oasis-desert region. Ecological Indicators, 93: 917-929.
doi: 10.1016/j.ecolind.2018.05.051
[52]   Wei Q Q, Abudureheman M, Halike A, et al. 2022. Temporal and spatial variation analysis of habitat quality on the PLUS-InVEST model for Ebinur Lake Basin, China. Ecological Indicators, 145: 109632, doi:10.1016/j.ecolind.2022.109632.
[53]   Wu Y D, Han Z Y, Meng J J, et al. 2023. Circuit theory-based ecological security pattern could promote ecological protection in the Heihe River Basin of China. Environment Science and Pollution Research, 30(10): 27340-27356.
doi: 10.1007/s11356-022-24005-5
[54]   Xu A K, Hu M J, Shi J, et al. 2024. Construction and optimization of ecological network in inland river basin based on circuit theory, complex network and ecological sensitivity: A case study of Gansu section of Heihe River Basin. Ecological Modelling, 488: 110578, doi:10.1016/j.ecolmodel.2023.110578.
[55]   Xu C L, Zhang Q B, Yu Q, et al. 2023. Effects of land use/cover change on carbon storage between 2000 and 2040 in the Yellow River Basin, China. Ecological Indicators, 151: 110345, doi:10.1016/j.ecolind.2023.110345.
[56]   Yan X D, Chen J F, Zhou S H. 2024. Carbon metabolism mechanisms and evolution characteristics analysis of the food-water-energy nexus system under blue-green infrastructure changes. Science of the Total Environment, 951: 175763, doi:10.1016/j.scitotenv.2024.175763.
[57]   Yang B, Chen X, Wang Z Q, et al. 2020. Analyzing land use structure efficiency with carbon emissions: A case study in the Middle Reaches of the Yangtze River, China. Journal of Cleaner Production, 274: 123076, doi:10.1016/j.jclepro.2020.123076.
[58]   Yang S F, Fu W J, Hu S G, et al. 2022. Watershed carbon compensation based on land use change: Evidence from the Yangtze River Economic Belt. Habitat International, 126: 102613, doi:10.1016/j.habitatint.2022.102613.
[59]   Zhang C H, Ju W M, Chen J M, et al. 2015. Disturbance-induced reduction of biomass carbon sinks of China's forests in recent years. Environmental Research Letters, 10(11): 114021, doi:10.1088/1748932/10/11/114021.
[60]   Zhang J Y, Zhang Z Y, Liu L, et al. 2025. Scaling effects of ecosystem service trade-off and synergy in arid inland river basins: A case study of the Manas River Basin of Xinjiang, China. Ecological Indicators, 173: 113358, doi:10.1016/j.ecolind.2025.113358.
[61]   Zhang K C, An Z S, Cai D W, et al. 2017. Key role of desert-oasis transitional area in avoiding oasis land degradation from aeolian desertification in Dunhuang, Northwest China. Land Degradation & Development, 28: 142-150.
doi: 10.1002/ldr.v28.1
[62]   Zhao H H, Guo B, Wang G J. 2023. Spatial-temporal changes and prediction of carbon storage in the Tibetan Plateau based on PLUS-InVEST model. Forests, 14(7): 1352, doi:10.3390/f14071352.
[63]   Zhou J J, Zhao Y R, Huang P, et al. 2020. Impacts of ecological restoration projects on the ecosystem carbon storage of inland river basin in arid area, China. Ecological Indicators, 118: 106803, doi:10.1016/j.ecolind.2020.106803.
[64]   Zubaida M. 2024. Trade-offs and synergies between ecosystem services in Yutian County along the Keriya River Basin, Northwest China. Journal of Arid Land, 16(7): 943-962.
doi: 10.1007/s40333-024-0103-2
[1] FENG Haoyuan, ZHANG Xuebin, SHI Peiji, SHI Jing, WANG Ziyang. Environmental interpretation of spatial heterogeneity in the trade-offs and synergies of land use functions: A study based on the XGBoost-SHAP model[J]. Journal of Arid Land, 2025, 17(10): 1378-1401.
[2] CHEN Yiyang, ZHANG Li, YAN Min, WU Yin, DONG Yuqi, SHAO Wei, ZHANG Qinglan. Spatiotemporal evolution and future simulation of land use/land cover in the Turpan-Hami Basin, China[J]. Journal of Arid Land, 2024, 16(10): 1303-1326.
[3] WANG Yinping, JIANG Rengui, YANG Mingxiang, XIE Jiancang, ZHAO Yong, LI Fawen, LU Xixi. Spatiotemporal characteristics and driving mechanisms of land use/land cover (LULC) changes in the Jinghe River Basin, China[J]. Journal of Arid Land, 2024, 16(1): 91-109.
[4] BAI Miao, LI Zhanling, HUO Pengying, WANG Jiawen, LI Zhanjie. Propagation characteristics from meteorological drought to agricultural drought over the Heihe River Basin, Northwest China[J]. Journal of Arid Land, 2023, 15(5): 523-544.
[5] Masoud BAZGIR, Reza OMIDIPOUR, Mehdi HEYDARI, Nasim ZAINALI, Masoud HAMIDI, Daniel C DEY. Prioritizing woody species for the rehabilitation of arid lands in western Iran based on soil properties and carbon sequestration[J]. Journal of Arid Land, 2020, 12(4): 640-652.
[6] Quanlin MA, Yaolin WANG, Yinke LI, Tao SUN, MILNE Eleanor. Carbon storage in a wolfberry plantation chronosequence established on a secondary saline land in an arid irrigated area of Gansu Province, China[J]. Journal of Arid Land, 2018, 10(2): 202-216.
[7] Fan YANG, Laiming HUANG, Renmin YANG, Fei YANG, Decheng LI, Yuguo ZHAO, Jinling YANG, Feng LIU, Ganlin ZHANG. Vertical distribution and storage of soil organic and inorganic carbon in a typical inland river basin, Northwest China[J]. Journal of Arid Land, 2018, 10(2): 183-201.
[8] Xin PAN, Yuanbo LIU, Xingwang FAN, Guojing GAN. Two energy balance closure approaches: applications and comparisons over an oasis-desert ecotone[J]. Journal of Arid Land, 2017, 9(1): 51-64.
[9] TIAN Zheng, WU Xiuqin, DAI Erfu, ZHAO Dongsheng. SOC storage and potential of grasslands from 2000 to 2012 in central and eastern Inner Mongolia, China[J]. Journal of Arid Land, 2016, 8(3): 364-374.
[10] WANG Yamin, FENG Qi, KANG Xingcheng. Tree-ring-based reconstruction of temperature variability (1445–2011) for the upper reaches of the Heihe River Basin, Northwest China[J]. Journal of Arid Land, 2016, 8(1): 60-76.
[11] YuQiang LI, XueYong ZHAO, FengXia ZHANG, Tala AWADA3, ShaoKun WANG, HaLin ZHAO, TongHui ZHANG, YuLin LI. Accumulation of soil organic carbon during natural restoration of desertified grassland in China's Horqin Sandy Land[J]. Journal of Arid Land, 2015, 7(3): 328-340.
[12] JiLiang LIU, WenZhi ZHAO, FengRui LI. Shrub presence and shrub species effects on ground beetle assemblages (Carabidae, Curculionidae and Tenebrionidae) in a sandy desert, northwestern China[J]. Journal of Arid Land, 2015, 7(1): 110-121.
[13] YanYun NIAN, Xin LI, Jian ZHOU, XiaoLi HU. Impact of land use change on water resource allocation in the middle reaches of the Heihe River Basin in northwestern China[J]. Journal of Arid Land, 2014, 6(3): 273-286.
[14] Wei ZHOU, ZhengGuo SUN, JianLong LI, ChengCheng GANG, ChaoBin ZHANG. Desertification dynamic and the relative roles of climate change and human activities in desertification in the Heihe River Basin based on NPP[J]. Journal of Arid Land, 2013, 5(4): 465-479.
[15] LiHua ZHANG, ZhongKui XIE, RuiFeng ZHAO, YaJun WANG. The impact of land use change on soil organic carbon and labile organic carbon stocks in the Longzhong region of Loess Plateau[J]. Journal of Arid Land, 2012, 4(3): 241-250.