Please wait a minute...
Journal of Arid Land  2026, Vol. 18 Issue (3): 524-546    DOI: 10.1016/j.jaridl.2026.03.009     CSTR: 32276.14.JAL.20250372
Research article     
Hydro-saline synergy regulates ecosystem multifunctionality via microbial biomass in semi-arid grasslands, China
HU Jinpeng, HE Yuanyuan, LI Yuanhong, ZHANG Yuewei, ZHANG Jinlin*()
State Key Laboratory of Herbage Improvement and Grassland Agro-ecosystems, Engineering Research Center of Grassland Industry, Ministry of Education; Center for Grassland Microbiome; College of Pastoral Agriculture Science and Technology, Lanzhou University, Lanzhou, 730000, China
Download: HTML     PDF(1012KB)
Export: BibTeX | EndNote (RIS)      

Abstract  

Soil water content and salinity critically regulate soil microbial composition, plant community structure, and ecosystem multifunctionality (EMF) in semi-arid grasslands. However, the mechanisms through which drought (D), saline-alkaline (SA), and their combined (DSA) stress influence these ecological components remain poorly understood. This study investigated these mechanisms along natural gradients in a semi-arid grassland of China by analyzing soil physical-chemical properties, microbial communities, and vegetation characteristics. The results showed that as the environmental stress shifted from the D group to the DSA group and then to the SA group, soil electrical conductivity significantly increased, while urease and phosphatase activities significantly decreased. Soil organic carbon, total nitrogen, total phosphorus, and microbial biomass carbon and nitrogen were lower in the D and SA groups than in the DSA group. Meanwhile, plant biomass showed an increasing trend along the treatment gradient, primarily driven by dominant species, while plant diversity did not exhibit significant differences. Further analysis identified the soil water content and salinity as the key determinants of soil microbial diversity and community complexity. Soil enzyme activities exhibited contrasting relationships with microbial composition, correlating positively with the richness of bacterial amplicon sequence variants (ASVs) but negatively with the richness of fungal ASVs. Notably, microbial biomass, which varied significantly across different groups, emerged as a key predictor of changes in EMF, with its critical role confirmed through structural equation modeling. These findings collectively elucidate the responses of ecological communities to synergistic soil hydro-saline stress in semi-arid ecosystems, while highlighting the critical role of microbial biomass in maintaining EMF.



Key wordshydro-saline      soil microbial      enzyme activity      ecosystem multifunctionality      semi-arid grassland     
Received: 11 August 2025      Published: 31 March 2026
Corresponding Authors: *ZHANG Jinlin (E-mail: jlzhang@lzu.edu.cn)
Cite this article:

HU Jinpeng, HE Yuanyuan, LI Yuanhong, ZHANG Yuewei, ZHANG Jinlin. Hydro-saline synergy regulates ecosystem multifunctionality via microbial biomass in semi-arid grasslands, China. Journal of Arid Land, 2026, 18(3): 524-546.

URL:

http://jal.xjegi.com/10.1016/j.jaridl.2026.03.009     OR     http://jal.xjegi.com/Y2026/V18/I3/524

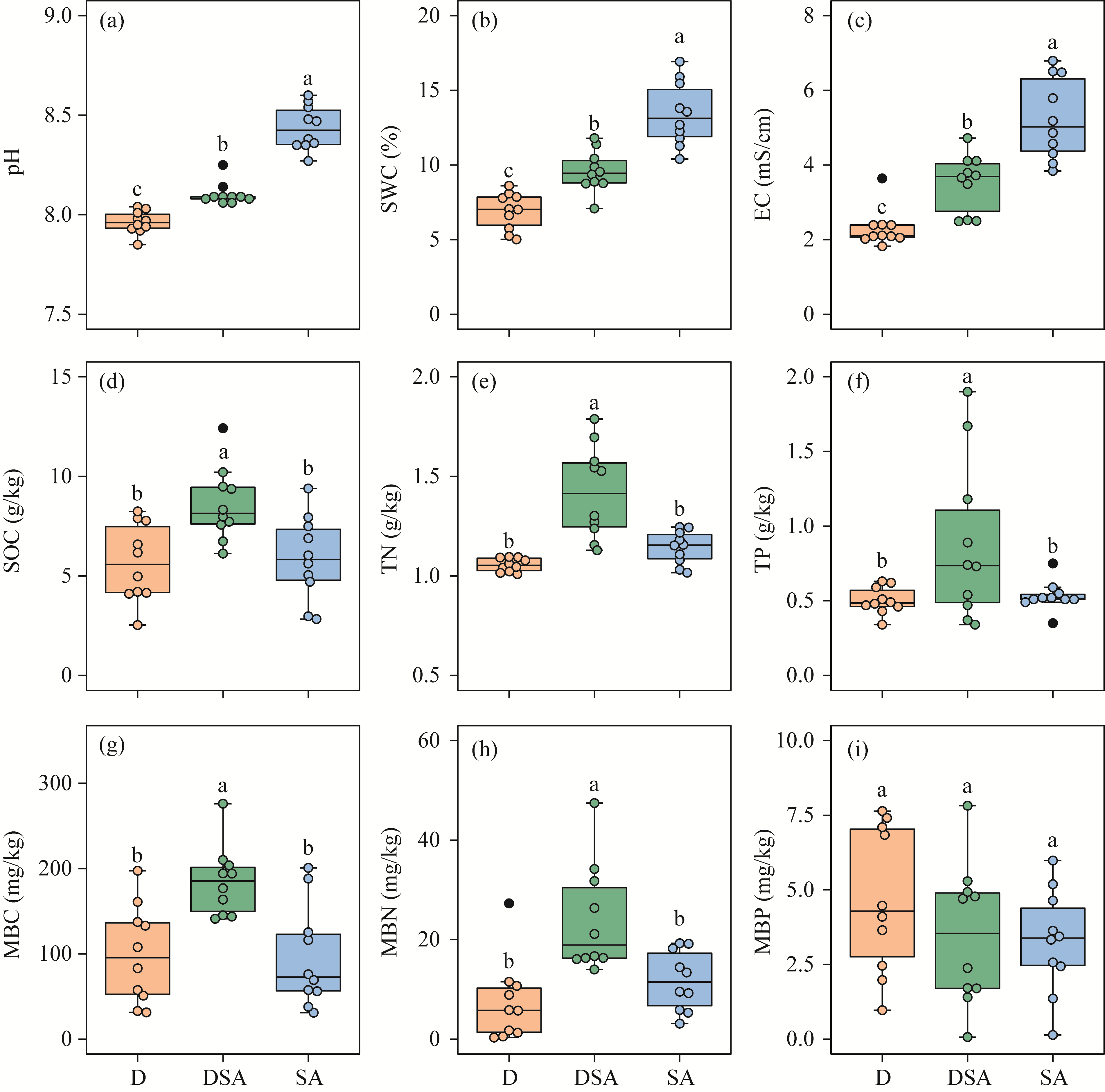
Fig. 1 Soil properties and soil microbial biomass in different groups. (a), pH; (b), SWC (soil water content); (c), EC (electrical conductivity); (d), SOC (soil organic carbon); (e), TN (total nitrogen); (f), TP (total phosphorus); (g), MBC (microbial biomass carbon); (h), MBN (microbial biomass nitrogen); (i), MBP (microbial biomass phosphorus). D, drought; SA, saline-alkaline; DSA, combined stress of D and SA. Boxes indicate the IQR (interquartile range, 75th to 25th of the data). The median value is shown as a line within the box. Outlier is shown as black point. Whiskers extend to the most extreme value within 1.5×IQR. Different lowercase letters indicate significant differences at P<0.050 level among different groups.
Item Index D DSA SA
Soil ion K+ (mg/kg) 156.537±13.999b 166.706±7.869b 486.182±59.567a
Na+ (mg/kg) 2079.759±199.144b 1994.041±79.141b 2772.627±212.131a
Ca2+ (mg/kg) 1384.027±448.888b 1313.337±202.074b 2664.782±470.603a
Mg2+ (mg/kg) 139.921±24.720b 173.965±16.071b 367.461±60.325a
Cl- (g/kg) 0.036±0.002b 0.046±0.003a 0.050±0.004a
HCO3- (g/kg) 0.024±0.002a 0.020±0.002ab 0.016±0.001b
SO42- (g/kg) 1.676±0.070b 2.694±0.223a 2.935±0.176a
Soil enzyme activity α-glucosidase (α-GC; μmol/(g•d)) 1.486±0.140a 0.737±0.144b 1.697±0.195a
β-glucosidase (β-GC; μmol/(g•d)) 5.331±0.575a 2.695±0.154b 3.220±0.348b
Urease (UE; μg/(g•d)) 204.517±3.166a 182.473±2.669b 143.673±4.576c
β-1,4-N-acetyl-glucosaminidase (NAG; μmol/(g•d)) 2.180±0.226ab 1.576±0.288b 2.342±0.200a
Neutral phosphatase (NP; μmol/(g•d)) 0.227±0.010a 0.157±0.006b 0.107±0.013c
Alkaline phosphatase (AKP; μmol/(g•d)) 5.402±0.229a 2.383±0.098b 1.160±0.066c
Table 1 Soil ions content and soil enzyme activities in different groups
Fig. 2 Plant community features and their relationship with SWC and EC. (a), Venn diagram showing the number of unique and shared plant species; (b), vegetation cover; (c), CWM (community-weighted mean value) of height; (d), total biomass; (e1-e4), relationships between plant community features and SWC; (f1-f4), relationships between plant community features and EC. Different lowercase letters in Figure 2b-d indicate significant differences at P<0.050 level among different groups. Shaded area in Figure 2e1-e4 and f1-f4 indicates the 95.00% confidence interval.
Fig. 3 Composition of plant communities and species attributes. (a), species cover; (b), Shannon-Wiener index; (c), Simpson index; (d), non-metric multidimensional scaling (NMDS) analysis; (e1-e3), plant density; (f1-f3), importance value (IV); (g1-g3) biomass. A. mongolicum, Allium mongolicum Regel; A. capillaris, Artemisia capillaris Thunb.; A. gobicus, Asparagus gobicus Ivanova ex Grubov; C. album, Chenopodium album L.; K. gracile, Kalidium gracile Fenzl.; L. angustus, Leymus angustus (Trin.) Pilg.; N. tangutorum, Nitraria tangutorum Bobrov; P. harmala; Peganum harmala L.; R. songarica, Reaumuria songarica (Pall.) Maxim; Z. mucronatum, Zygophyllum mucronatum Maxim. Different lowercase letters indicate significant differences at P<0.050 level among different groups or plant species. Bars in Figure 3e1-e3, f1-f3, and g1-g3 are standard errors.
Fig. 4 Amplicon sequence variants (ASVs), alpha diversity, NMDS, and relationships of dissimilarity distance with SWC and EC. (a1-a3), bacterial ASVs and alpha diversity; (b1-b3), fungal ASVs and alpha diversity; (c), NMDS analysis for bacteria; (d), NMDS analysis for fungi; (e1 and e2), relationships of dissimilarity distance with SWC and EC for bacteria, respectively; (f1 and f2), relationships of dissimilarity distance with SWC and EC for fungi, respectively. Different lowercase letters in Figure 4a1-a3 and b1-b3 indicate significant differences at P<0.050 level among different groups. ACE, abundance-based coverage estimation.
Fig. 5 Co-occurrence networks and topological properties of networks. (a1-a3), bacterial networks in different groups; (b1-b3), fungal networks in different groups; (c1-c3), ratio of links to nodes, average degree, and density in different groups; (d1-d3), within-module connectivity (Zi) and among-module connectivity (Pi) plots showing the distribution of ASVs based on their topological roles and ability to predict keystone ASVs in networks, with red dashed lines on the x-axis and y-axis representing Pi=0.62 and Zi=2.5, respectively. In Figure a1-a3 and b1-b3, nodes represent ASVs. The node color represents the top 6 phyla, and node size indicates the degree.
Item Bacteria Fungi
D DSA SA D DSA SA
Number of nodes 451 367 239 54 44 15
Number of links 817 683 359 90 89 19
Positive links and percentage 797 (97.55%) 659 (96.49%) 354
(98.61%)
90 (100.00%) 89 (100.00%) 19 (100.00%)
Negative links and percentage 20
(2.45%)
24
(3.51%)
5
(1.39%)
0
(0.00%)
0
(0.00%)
0
(0.00%)
Ratio of links to nodes 1.8115 1.8610 1.5021 1.6667 2.0227 1.2667
Modularity 0.8362 0.8119 0.8911 0.6501 0.5064 0.5111
Average degree 3.6231 3.7221 3.0042 3.3333 4.0455 2.5333
Density 0.0032 0. 0049 0.0043 0.0544 0.0789 0.0633
Table 2 Topological properties of correlation networks for bacteria and fungi in different groups
Fig. 6 Drivers of ecosystem multifunctionality (EMF). (a), SEM (structural equation modeling) showing the direct and indirect effects of factors; (b), contributions of biotic and abiotic factors to soil microbial ASVs and EMF based on Spearman's correlation and regression model; (c), PCA (principal component analysis) result. GFI, comparative fit index; RMSEA, root mean square error of approximation; PC, principal component; UE, urease; NP, neutral phosphatase; AKP, alkaline phosphatase; β-GC, β-glucosidase; NAG, N-acetyl-glucosaminidase; α-GC, α-glucosidase. *, P<0.050 level; ***, P<0.001 level.
Plant species Family Genus Group
Reaumuria songarica (Pall.) Maxim Tamaricaceae Reaumuria D, DSA, SA
Leymus angustus (Trin.) Pilg. Poaceae Leymus D, DSA, SA
Allium mongolicum Regel Liliaceae Allium D, DSA
Peganum harmala L. Zygophyllaceae Peganum DSA, SA
Asparagus gobicus Ivanova ex Grubov Liliaceae Asparagus DSA
Zygophyllum mucronatum Maxim. Zygophyllaceae Zygophyllum DSA
Artemisia capillaris Thunb. Compositae Artemisia DSA
Chenopodium album L. Chenopodiaceae Chenopodium SA
Nitraria tangutorum Bobrov Zygophyllaceae Nitraria SA
Kalidium gracile Fenzl. Chenopodiaceae Kalidium SA
Table S1 Distribution of plants in each group
Fig. S1 Traits of the dominant plant species (R. songarica). (a), leaf length; (b), chlorophyll a; (c), chlorophyll b; (d), total chlorophyll; (e), Na+ content; (f), K+ content. D, drought; SA, saline-alkaline; DSA, combined stress of D and SA; DW, dry weight. Boxes indicate the IQR (interquartile range, 75th to 25th of the data). The median value is shown as a line within the box. Whiskers extend to the most extreme value within 1.5×IQR. Different lowercase letters indicate significant differences at P<0.050 level among different groups.
Fig. S2 Relative abundance of microbial communities in different soil groups. (a and b), bacterial and fungal relative abundance at phylum level, respectively; (c and d), bacterial and fungal relative abundance at genus level, respectively.
Classification of nodes Bacteria Fungi
D DSA SA D DSA SA
Peripherals 447 362 239 53 42 15
Connectors 2 1 0 1 2 0
Module hubs 2 4 0 0 0 0
Network hubs 0 0 0 0 0 0
Table S2 Classification of nodes to identify keystone taxa in bacterial and fungal networks
Name of ASVs Group Classification Kingdom Phylum Genus
ASV123 D Connectors Bacteria Actinobacteriota Rubrobacter
ASV676 D Connectors Bacteria Planctomycetota -
ASV1368 D Module hubs Bacteria Proteobacteria Steroidobacter
ASV1932 D Module hubs Bacteria - -
ASV57 D Connectors Fungi Basidiomycota -
ASV123 DSA Module hubs Bacteria Actinobacteriota Rubrobacter
ASV296 DSA Module hubs Bacteria Actinobacteriota -
ASV414 DSA Module hubs Bacteria Proteobacteria Woeseia
ASV715 DSA Module hubs Bacteria - -
ASV1302 DSA Connectors Bacteria Chloroflexi -
ASV38 DSA Connectors Fungi - -
ASV42 DSA Connectors Fungi - -
Table S3 Distribution of keystone taxa in bacterial and fungal networks
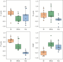
Fig. S3 Soil carbon (C; a), nitrogen (N; b), and phosphorus (P; c) cycles and ecosystem multifunctionality (EMF; d). Different lowercase letters indicate significant differences at P<0.050 level among different groups.
Fig. S4 Structural equation modeling (SEM) showing the direct and indirect effects of drivers of soil microbial amplicon sequence variants (ASVs). (a), bacteria; (b), fungi. EC, electrical conductivity; SWC, soil water content; SOC, soil organic carbon; CWM, community-weighted means; GFI, goodness-of-fit index; RMSEA, root mean square error of approximation; **, P<0.010 level; ***, P<0.001 level.
[1]   Ahluwalia O, Singh P C, Bhatia R. 2021. A review on drought stress in plants: Implications, mitigation and the role of plant growth promoting rhizobacteria. Resources, Environment and Sustainability, 5: 100032, doi: 10.1016/j.resenv.2021.100032.
[2]   Bahram M, Hildebrand F, Forslund S K, et al. 2018. Structure and function of the global topsoil microbiome. Nature, 560: 233-237.
doi: 10.1038/s41586-018-0386-6
[3]   Bais H P, Weir T L, Perry L G, et al. 2006. The role of root exudates in rhizosphere interactions with plants and other organisms. Annual Review of Plant Biology, 57: 233-266.
pmid: 16669762
[4]   Banerjee S, Schlaeppi K,van der Heijden M G A. 2018. Keystone taxa as drivers of microbiome structure and functioning. Nature Reviews Microbiology, 16: 567-576.
doi: 10.1038/s41579-018-0024-1 pmid: 29789680
[5]   Banwart S A, Nikolaidis N P, Zhu Y G, et al. 2019. Soil functions: Connecting Earth's critical zone. Annual Review of Earth and Planetary Sciences, 47: 333-359.
doi: 10.1146/annurev-earth-063016-020544
[6]   Chai Y N, Schachtman D P. 2022. Root exudates impact plant performance under abiotic stress. Trends in Plant Science, 27: 80-91.
doi: 10.1016/j.tplants.2021.08.003
[7]   Cheeseman J M. 2015. The evolution of halophytes, glycophytes and crops, and its implications for food security under saline conditions. New Phytologist, 206(2): 557-570.
doi: 10.1111/nph.13217 pmid: 25495078
[8]   Chen C, Yin G Y, Hou L J, et al. 2023. Reclamation of tidal flats to paddy soils reshuffles the soil microbiomes along a 53-year reclamation chronosequence: Evidence from assembly processes, co-occurrence patterns and multifunctionality. Environment International, 179: 108151, doi: 10.1016/j.envint.2023.108151.
[9]   Chen H H, Ma K Y, Huang Y, et al. 2022. Significant response of microbial community to increased salinity across wetland ecosystems. Geoderma, 415: 115778, doi: 10.1016/j.geoderma.2022.115778.
[10]   Chen Q L, Ding J, Zhu Y G, et al. 2020. Soil bacterial taxonomic diversity is critical to maintaining the plant productivity. Environment International, 140: 105766, doi: 10.1016/j.envint.2020.105766.
[11]   Cheng Y X, Zhang C Y, Zhao X H, et al. 2018. Biomass-dominant species shape the productivity-diversity relationship in two temperate forests. Annals of Forest Science, 75(4): 97, doi: 10.1007/s13595-018-0780-0.
[12]   Coban O,De Deyn G B, van der Ploeg M. 2022. Soil microbiota as game-changers in restoration of degraded lands. Science, 375(6584): abe0725, doi: 10.1126/science.abe0725.
[13]   Cong H J. 2018. Analysis of soil moisture under the condition of different fertilization in gully area of the Loess Plateau. Bulletin of Science and Technology, 34(5): 70-73. (in Chinese)
[14]   de Vries F T, Griffiths R I, Bailey M, et al. 2018. Soil bacterial networks are less stable under drought than fungal networks. Nature Communications, 9: 3033, doi: 10.1038/s41467-018-05516-7.
pmid: 30072764
[15]   Delgado-Baquerizo M, Oliverio A M, Brewer T E, et al. 2018. A global atlas of the dominant bacteria found in soil. Science, 359(6373): 320-325.
doi: 10.1126/science.aap9516 pmid: 29348236
[16]   FAO (Food and Agriculture Organization of the United Nations). 2021. Global map of salt-affected soils: GSASmap v1.0. [2025-05-03]. https://www.fao.org/soils-portal/data-hub/soil-maps-and-databases/global-map-of-salt-affected-soils/en/
[17]   Fu B J, Stafford-Smith M, Fu C. 2021. Editorial overview: Dryland social-ecological systems in changing environments. Current Opinion in Environmental Sustainability, 48: A1-A5.
[18]   Gao C, Xu L, Montoya L, et al. 2022. Co-occurrence networks reveal more complexity than community composition in resistance and resilience of microbial communities. Nature Communications, 13: 3867, doi: 10.1038/s41467-022-31343-y.
pmid: 35790741
[19]   Guan Y P, Jiang N N, Wu Y X, et al. 2021. Disentangling the role of salinity-sodicity in shaping soil microbiome along a natural saline-sodic gradient. Science of the Total Environment, 765: 142738, doi: 10.1016/j.scitotenv.2020.142738.
[20]   Hartmann M, Six J. 2023. Soil structure and microbiome functions in agroecosystems. Nature Reviews Earth & Environment, 4: 4-18.
[21]   Hooper D U, Adair E C, Cardinale B J, et al. 2012. A global synthesis reveals biodiversity loss as a major driver of ecosystem change. Nature, 486: 105-108.
doi: 10.1038/nature11118
[22]   Hu J P, Zhang M X, Lü Z L, et al. 2023. Grazing practices affect phyllosphere and rhizosphere bacterial communities of Kobresia humilis by altering their network stability. Science of The Total Environment, 900: 165814, doi: 10.1016/j.scitotenv.2023.165814.
[23]   Hu J P, He Y Y, Li J H, et al. 2024. Planting halophytes increases the rhizosphere ecosystem multifunctionality via reducing soil salinity. Environmental Research, 261: 119707, doi: 10.1016/j.envres.2024.119707.
[24]   Hu W G, Ran J Z, Dong L W, et al. 2021. Aridity-driven shift in biodiversity-soil multifunctionality relationships. Nature Communications, 12: 5350, doi: 10.1038/s41467-021-25641-0.
pmid: 34504089
[25]   Jansson J K, McClure R, Egbert R G. 2023. Soil microbiome engineering for sustainability in a changing environment. Nature Biotechnology, 41: 1716-1728.
doi: 10.1038/s41587-023-01932-3 pmid: 37903921
[26]   Ji L, Tian C J, Kuramae E E. 2023. Phosphorus-mediated succession of microbial nitrogen, carbon, and sulfur functions in rice-driven saline-alkali soil remediation. Soil Biology and Biochemistry, 184: 109125, doi: 10.1016/j.soilbio.2023.109125.
[27]   Jiao S, Chu H Y, Zhang B G, et al. 2022. Linking soil fungi to bacterial community assembly in arid ecosystems. iMeta, 1(1): e2, doi: 10.1002/imt2.2.
[28]   Jing X, Sanders N J, Shi Y, et al. 2015. The links between ecosystem multifunctionality and above- and belowground biodiversity are mediated by climate. Nature Communications, 6: 8159, doi: 10.1038/ncomms9159.
pmid: 26328906
[29]   Kang P, Pan Y Q, Yang P, et al. 2022. A comparison of microbial composition under three tree ecosystems using the stochastic process and network complexity approaches. Frontiers in Microbiology, 13: 1018077, doi: 10.3389/fmicb.2022.1018077.
[30]   Kouřilová X, Schwarzerová J, Pernicová I, et al. 2021. The first insight into polyhydroxyalkanoates accumulation in multi- extremophilic Rubrobacter xylanophilus and Rubrobacter spartanus. Microorganisms, 9(5): 909, doi: 10.3390/microorganisms9050909.
[31]   Li C J, Fu B J, Wang S, et al. 2021. Drivers and impacts of changes in China's drylands. Nature Reviews Earth & Environment, 2: 858-873.
[32]   Li J G, Pu L J, Han M F, et al. 2014. Soil salinization research in China: Advances and prospects. Journal of Geographical Sciences, 24: 943-960.
doi: 10.1007/s11442-014-1130-2
[33]   Li Y, Li W J, Jiang L M, et al. 2024. Salinity affects microbial function genes related to nutrient cycling in arid regions. Frontiers in Microbiology, 15: 1407760, doi: 10.3389/fmicb.2024.1407760.
[34]   Maestre F T, Quero J L, Gotelli N J, et al. 2012. Plant species richness and ecosystem multifunctionality in global drylands. Science, 335(6065): 214-218.
doi: 10.1126/science.1215442 pmid: 22246775
[35]   Manning P, van der Plas F, Soliveres S, et al. 2018. Redefining ecosystem multifunctionality. Nature Ecology & Evolution, 2: 427-436.
[36]   Mao D H, Wang Z M, Wu B F, et al. 2018. Land degradation and restoration in the arid and semiarid zones of China: Quantified evidence and implications from satellites. Land Degradation & Development, 2911 3841-3851.
[37]   Mo K C, Lettenmaier D P. 2014. Objective drought classification using multiple land surface models. Journal of Hydrometeorology, 15(3): 990-1010.
doi: 10.1175/JHM-D-13-071.1
[38]   Muhammad M, Waheed A, Wahab A, et al. 2024. Soil salinity and drought tolerance: An evaluation of plant growth, productivity, microbial diversity, and amelioration strategies. Plant Stress, 11: 100319, doi: 10.1016/j.stress.2023.100319.
[39]   Niu G X, Hasi M, Wang R Z, et al. 2021. Soil microbial community responses to long-term nitrogen addition at different soil depths in a typical steppe. Applied Soil Ecology, 167: 104054, doi: 10.1016/j.apsoil.2021.104054.
[40]   Pan Y Q, Kang P, Hu J P, et al. 2021. Bacterial community demonstrates stronger network connectivity than fungal community in desert-grassland salt marsh. Science of the Total Environment, 798: 149118, doi: 10.1016/j.scitotenv.2021.149118.
[41]   Pereira T A, Vieira S A, Oliveira R S, et al. 2022. Local drivers of heterogeneity in a tropical forest: Epiphytic tank bromeliads affect the availability of soil resources and conditions and indirectly affect the structure of seedling communities. Oecologia, 199: 205-215.
doi: 10.1007/s00442-022-05179-8 pmid: 35526202
[42]   Philippot L, Chenu C, Kappler A, et al. 2024. The interplay between microbial communities and soil properties. Nature Reviews Microbiology, 22: 226-239.
doi: 10.1038/s41579-023-00980-5
[43]   Sheng D C, Liu T, Wang H Y, et al. 2024. Advancing the dominance of winter annuals under changing rainfall patterns in a temperate desert of Central Asia. Global Ecology and Conservation, 54: e03064, doi: 10.1016/j.gecco.2024.e03064.
[44]   Shu W S, Huang L N. 2022. Microbial diversity in extreme environments. Nature Reviews Microbiology, 20: 219-235.
doi: 10.1038/s41579-021-00648-y
[45]   Singh J S, Gupta V K. 2018. Soil microbial biomass: A key soil driver in management of ecosystem functioning. Science of the Total Environment, 634: 497-500.
doi: 10.1016/j.scitotenv.2018.03.373
[46]   Sritongon N, Sarin P, Theerakulpisut P, et al. 2022. The effect of salinity on soil chemical characteristics, enzyme activity and bacterial community composition in rice rhizospheres in Northeastern Thailand. Scientific Reports, 12: 20360, doi: 10.1038/s41598-022-24902-2.
pmid: 36437295
[47]   Tilman D, Isbell F, Cowles J M. 2014. Biodiversity and ecosystem functioning. Annual Review of Ecology, Evolution, and Systematics, 45: 471-493.
doi: 10.1146/ecolsys.2014.45.issue-1
[48]   Token S, Jiang L, Zhang L, et al. 2022. Effects of plant diversity on primary productivity and community stability along soil water and salinity gradients. Global Ecology and Conservation, 36: e02095, doi: 10.1016/j.gecco.2022.e02095.
[49]   Trivedi P, Leach J E, Tringe S G, et al. 2020. Plant-microbiome interactions: from community assembly to plant health. Nature Reviews Microbiology, 18: 607-621.
doi: 10.1038/s41579-020-0412-1
[50]   Wagg C, Roscher C, Weigelt A, et al. 2022. Biodiversity-stability relationships strengthen over time in a long-term grassland experiment. Nature Communications, 13: 7752, doi: 10.1038/s41467-022-35189-2.
pmid: 36517483
[51]   Wan N F, Zheng X R, Fu L W, et al. 2020. Global synthesis of effects of plant species diversity on trophic groups and interactions. Nature Plants, 6: 503-510.
doi: 10.1038/s41477-020-0654-y
[52]   Wang C S, Wang H Q, Wang W, et al. 2022a. The salt secretion of leaves promotes the competitiveness of Reaumuria soongarica in a desert grassland. BMC Plant Biology, 22: 85, doi: 10.1186/s12870-022-03457-4.
[53]   Wang S, Wang X B, Han X G, et al. 2018. Higher precipitation strengthens the microbial interactions in semi-arid grassland soils. Global Ecology and Biogeography, 27(5): 570-580.
doi: 10.1111/geb.2018.27.issue-5
[54]   Wang W Y, Jia T H, Qi T Y, et al. 2022b. Root exudates enhanced rhizobacteria complexity and microbial carbon metabolism of toxic plants. iScience, 25(10): 105243, doi: 10.1016/j.isci.2022.105243.
[55]   Wang X, Zhang Q, Zhang Z J, et al. 2023. Decreased soil multifunctionality is associated with altered microbial network properties under precipitation reduction in a semiarid grassland. iMeta, 2(2): e106, doi: 10.1002/imt2.106.
[56]   Wei H H, Geng X Y, Zhu W, et al. 2023. Individual and combined influences of salinity and drought stress on the agro-physiological traits and grain yield of rice. Field Crops Research, 304: 109172, doi: 10.1016/j.fcr.2023.109172.
[57]   Wei Y X, Chen L J, Feng Q, et al. 2024. Structure and assembly mechanism of soil bacterial community under different soil salt intensities in arid and semiarid regions. Ecological Indicators, 158: 111631, doi: 10.1016/j.ecolind.2024.111631.
[58]   Wu L W, Zhang Y, Guo X, et al. 2022. Reduction of microbial diversity in grassland soil is driven by long-term climate warming. Nature Microbiology, 7: 1054-1062.
doi: 10.1038/s41564-022-01147-3 pmid: 35697795
[59]   Xi H Y, Feng Q, Zhang L, et al. 2016. Effects of water and salinity on plant species composition and community succession in Ejina Desert Oasis, northwest China. Environmental Earth Sciences, 75: 138, doi: 10.1007/s12665-015-4823-7.
[60]   Xiao Y, Liu X, Zhang L, et al. 2021. The allometry of plant height explains species loss under nitrogen addition. Ecology Letters, 24(3): 553-562.
doi: 10.1111/ele.13673 pmid: 33423373
[61]   Yan N, Marschner P, Cao W H, et al. 2015. Influence of salinity and water content on soil microorganisms. International Soil and Water Conservation Research, 3(4): 316-323.
doi: 10.1016/j.iswcr.2015.11.003
[62]   Yang G W, Roy J, Veresoglou S D, et al. 2021. Soil biodiversity enhances the persistence of legumes under climate change. New Phytologist, 229(5): 2945-2956.
doi: 10.1111/nph.17065 pmid: 33152109
[63]   Yao S R, Hu W G, Ji M F, et al. 2025. Distribution, species richness, and relative importance of different plant life forms across drylands in China. Plant Diversity, 47(2): 273-281.
doi: 10.1016/j.pld.2024.09.007
[64]   Ye H, Hong M, Xu X H, et al. 2024. Responses of plant diversity and soil microorganism diversity to nitrogen addition in the desert steppe, China. Journal of Arid Land, 16(3): 447-459.
doi: 10.1007/s40333-024-0008-0
[65]   Zhang G L, Bai J H, Zhai Y J, et al. 2024a. Microbial diversity and functions in saline soils: A review from a biogeochemical perspective. Journal of Advanced Research, 59: 129-140.
doi: 10.1016/j.jare.2023.06.015
[66]   Zhang J, Guo X Q, Shan Y J, et al. 2024b. Effects of land-use patterns on soil microbial diversity and composition in the Loess Plateau, China. Journal of Arid Land, 16(3): 415-430.
doi: 10.1007/s40333-024-0007-1
[67]   Zhang T J, Chen Y N, Ali S. 2023. Abiotic stress and human activities reduce plant diversity in desert riparian forests. Ecological Indicators, 152: 110340, doi: 10.1016/j.ecolind.2023.110340.
[68]   Zheng J H, Zhang B, Zhang F, et al. 2023. Effects of fencing on near-term ecosystem multifunctionality in a typical steppe in Inner Mongolia. Agriculture, Ecosystems & Environment, 342: 108238, doi: 10.1016/j.agee.2022.108238.
[69]   Zhou J Q, Gong J C, Wang P S, et al. 2024. Historical tillage promotes grass-legume mixtures establishment and accelerates soil microbial activity and organic carbon decomposition. Journal of Arid Land, 16(7): 910-924.
doi: 10.1007/s40333-024-0021-3
[70]   Zhou J Z, Ning D L. 2017. Stochastic community assembly: Does it matter in microbial ecology. Microbiology and Molecular Biology Reviews, 81(4): e00002-17, doi: 10.1128/MMBR.00002-17.
[1] LI Haonian, MENG Ruibing, MENG Zhongju, GE Rile, WU Xiaolong. Influence of grazing patterns on the stability of soil aggregates in semi-arid grasslands[J]. Journal of Arid Land, 2026, 18(2): 322-338.
[2] SHEN Aihong, SHI Yun, MI Wenbao, YUE Shaoli, SHE Jie, ZHANG Fenghong, GUO Rui, HE Hongyuan, WU Tao, LI Hongxia, ZHAO Na. Effects of desert plant communities on soil enzyme activities and soil organic carbon in the proluvial fan in the eastern foothills of the Helan Mountain in Ningxia, China[J]. Journal of Arid Land, 2024, 16(5): 725-737.
[3] ZHANG Jian, GUO Xiaoqun, SHAN Yujie, LU Xin, CAO Jianjun. Effects of land-use patterns on soil microbial diversity and composition in the Loess Plateau, China[J]. Journal of Arid Land, 2024, 16(3): 415-430.
[4] SHEN Aihong, ZHAO Na, SHI Yun, MI Wenbao, SHE Jie, ZHANG Fenghong, GUO Rui, WU Tao, LI Zhigang, LI Jianhua, ZHU Xiaowen, LI Hongxia, YUE Shaoli. Soil ecological stoichiometry in varied micro- topographies of an alluvial fan at eastern Helan Mountains, Northwest China[J]. Journal of Arid Land, 2024, 16(12): 1648-1663.
[5] KOU Zhaoyang, LI Chunyue, CHANG Shun, MIAO Yu, ZHANG Wenting, LI Qianxue, DANG Tinghui, WANG Yi. Effects of nitrogen and phosphorus additions on soil microbial community structure and ecological processes in the farmland of Chinese Loess Plateau[J]. Journal of Arid Land, 2023, 15(8): 960-974.
[6] ABAY Peryzat, GONG Lu, CHEN Xin, LUO Yan, WU Xue. Spatiotemporal variation and correlation of soil enzyme activities and soil physicochemical properties in canopy gaps of the Tianshan Mountains, Northwest China[J]. Journal of Arid Land, 2022, 14(7): 824-836.
[7] HUI Rong, TAN Huijuan, LI Xinrong, WANG bingyao. Variation of soil physical-chemical characteristics in salt-affected soil in the Qarhan Salt Lake, Qaidam Basin[J]. Journal of Arid Land, 2022, 14(3): 341-355.
[8] Xiang ZHAO, Shuya HU, Jie DONG, Min REN, Xiaolin ZHANG, Kuanhu DONG, Changhui WANG. Effects of spring fire and slope on the aboveground biomass, and organic C and N dynamics in a semi-arid grassland of northern China[J]. Journal of Arid Land, 2019, 11(2): 267-279.
[9] Hui ZHANG, Wenjun LIU, Xiaoming KANG, Xiaoyong CUI, Yanfen WANG, Haitao ZHAO, Xiaoqing QIAN, Yanbin HAO. Changes in soil microbial community response to precipitation events in a semi-arid steppe of the Xilin River Basin, China[J]. Journal of Arid Land, 2019, 11(1): 97-110.
[10] Xing WANG, Naiping SONG, Xinguo YANG, Lei WANG, Lin CHEN. Grazing exclusion-induced shifts, the relative importance of environmental filtering, biotic interactions and dispersal limitation in shaping desert steppe communities, northern China[J]. Journal of Arid Land, 2018, 10(3): 402-415.
[11] Yunxiao BAI, Xiaobing LI, Wanyu WEN, Xue MI, Ruihua LI, Qi HUANG, Meng ZHANG. CO2, CH4 and N2O flux changes in degraded grassland soil of Inner Mongolia, China[J]. Journal of Arid Land, 2018, 10(3): 347-361.
[12] Xiaoyun LI, Yiquan WANG, E REYNOLDS Mark, Xiaoping LI, Xinwei LU. Long-term agricultural activity affects anthropogenic soil on the Chinese Loess Plateau[J]. Journal of Arid Land, 2017, 9(5): 678-687.
[13] Hong ZHANG, Wenxin XU, Yubao LI, Jialong LYU, Yingfei CAO, Wenxiang HE. Changes of soil microbial communities during decomposition of straw residues under different land uses[J]. Journal of Arid Land, 2017, 9(5): 666-677.
[14] LI Xiliang, HOU Xiangyang, REN Weibo, Taogetao BAOYIN, LIU Zhiying, Warwick BADGERY, LI Yaqiong, WU Xinhong, XU Huimin. Long-term effects of mowing on plasticity and allometry of Leymus chinensis in a temperate semi-arid grassland, China[J]. Journal of Arid Land, 2016, 8(6): 899-909.
[15] WANG Shaokun, ZHAO Xueyong, ZHAO Halin, LIAN Jie, LUO Yongqing, YUN Jianying. Impact of sand burial on maize (Zea mays L.) productivity and soil quality in Horqin sandy cropland, Inner Mongolia, China[J]. Journal of Arid Land, 2016, 8(4): 569-578.