Please wait a minute...
Journal of Arid Land  2025, Vol. 17 Issue (10): 1425-1442    DOI: 10.1007/s40333-025-0021-y     CSTR: 32276.14.JAL.0250021y
Research article     
Response of temporal stability of plant community biomass in alpine meadows of the Qinghai-Xizang Plateau, China to climate warming and nitrogen deposition
XIANG Xuemei, DE Kejia*(), ZHANG Lin, LIN Weishan, FENG Tingxu, LI Fei, WEI Xijie
College of Animal Husbandry and Veterinary Science, Qinghai University, Xining 810016, China
Download: HTML     PDF(2538KB)
Export: BibTeX | EndNote (RIS)      

Abstract  

In recent years, many studies have focused on the effects of global climate warming and increased nitrogen deposition on the structure and function of grassland ecosystem. However, there are still significant uncertainties in the response mechanism of stability of plant community biomass in alpine meadows of the Qinghai-Xizang Plateau, China to these two major climate factors. Given this, based on field control experiments, this study systematically evaluated the effects of different levels of climate warming (W0 (no warming), W1 (air temperature increased by 0.47°C or soil temperature increased by 0.61°C), W2 (air temperature increased by 0.92°C or soil temperature increased by 1.09°C), W3 (air temperature increased by 1.44°C or soil temperature increased by 1.95°C)), nitrogen deposition ((N0 (0 kg N/(hm2•a), N16 (16 kg N/(hm2•a), and N32 (32 kg N/(hm2•a)), and their interactions on plant community biomass and its temporal stability, and explored its potential regulatory mechanisms. The results showed that the biomass of total community, Gramineae, and dominant species increased significantly with increasing temperature, but the biomass of common and rare species decreased significantly. Nitrogen deposition also significantly promoted the biomass accumulation of community and gramineous plants. Under the treatment of W3N32, the biomass of plant community, Gramineae, and dominant species reached the highest values, indicating that there was a synergistic effect under this treatment. Structural equation model showed that increasing temperature significantly decreased the stability of plant community biomass by reducing the stability of grass and dominant species biomass and weakening species asynchronism. Interaction of increased nitrogen deposition and temperature increased the biomass fluctuation of grass functional group, thus amplifying its negative influence on community stability. More attention should be paid to the response and regulatory mechanisms of dominant species and functional groups under global climate change. This study provides a theoretical basis for revealing the stability maintenance mechanism of alpine grassland and also provides scientific support for the development of future grassland ecosystem management and assessment.



Key wordsalpine meadows      climate change      plant community biomass      dominant species      species asynchrony     
Received: 21 January 2025      Published: 31 October 2025
Corresponding Authors: *DE Kejia (E-mail: dekejia1002@163.com)
Cite this article:

XIANG Xuemei, DE Kejia, ZHANG Lin, LIN Weishan, FENG Tingxu, LI Fei, WEI Xijie. Response of temporal stability of plant community biomass in alpine meadows of the Qinghai-Xizang Plateau, China to climate warming and nitrogen deposition. Journal of Arid Land, 2025, 17(10): 1425-1442.

URL:

http://jal.xjegi.com/10.1007/s40333-025-0021-y     OR     http://jal.xjegi.com/Y2025/V17/I10/1425

Heating
gradient (°C)
Top diameter (m) Bottom
diameter (m)
Height
(m)
Temperature (°C)
Increased air temperature at 10 cm above the ground Increased soil temperature at 5 cm below the ground
W1 1.50 1.95 0.40 0.47 0.61
W2 1.00 1.45 0.40 0.92 1.09
W3 0.50 0.95 0.40 1.44 1.95
Table 1 Specification and performance of the heating device
Fig. 1 Soil (a) and air (b) temperature variations under different warming treatments from 2023 to 2024. W0, no warming; W1, air temperature increased by 0.47°C or soil temperature increased by 0.61°C; W2, air temperature increased by 0.92°C or soil temperature increased by 1.09°C; W3, air temperature increased by 1.44°C or soil temperature increased by 1.95°C. The abbreviations are the same as in the following figures and tables.
Fig. S1 Vegetation coverage (a) and relative biomass (b) of different plant functional groups and categories under different treatments. W0, no warming; W1, air temperature increased by 0.47°C or soil temperature increased by 0.61°C; W2, air temperature increased by 0.92°C or soil temperature increased by 1.09°C; W3, air temperature increased by 1.44°C or soil temperature increased by 1.95°C; N0, 0 kg N/(hm2•a); N16, 16 kg N/(hm2•a); N32, 32 kg N/(hm2•a).
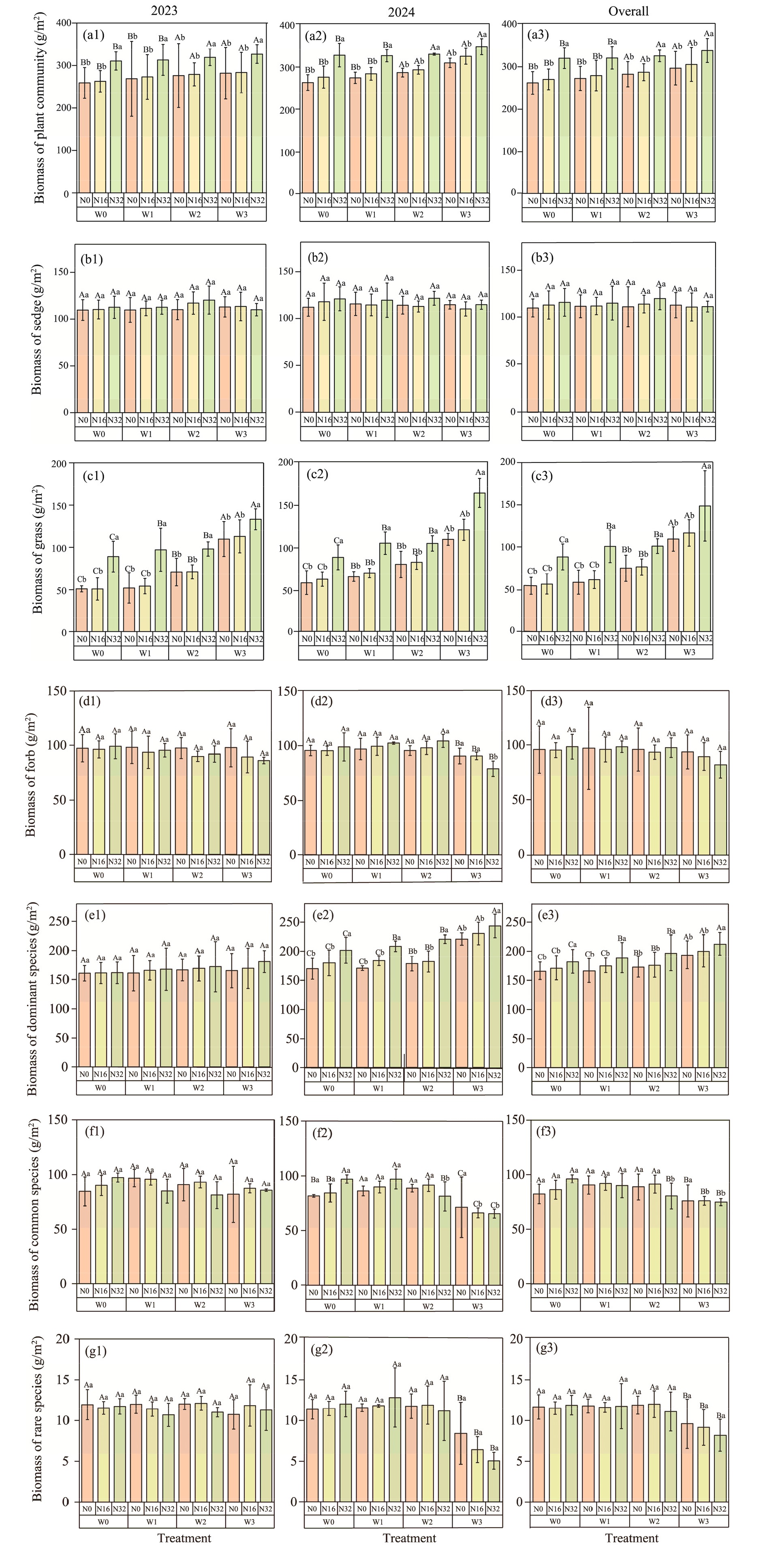
Fig. 2 Effects of warming and nitrogen deposition on plant biomass. (a1-a3), biomass of plant community; (b1-b3), biomass of sedge; (c1-c3), biomass of grass; (d1-d3), biomass of forb; (e1-e3), biomass of dominant species; (f2-f3), biomass of common species; (g1-g3), biomass of rare species. N0, 0 kg N/(hm2•a); N16, 16 kg N/(hm2•a); N32, 32 kg N/(hm2•a). Different uppercase letters within the same nitrogen treatment indicate significant differences among different climate waring treatments at P<0.050 level. Different lowercase letters within the same climate warming treatment indicate significant differences among different nitrogen treatments at P<0.050 level. Bars are standard errors. The abbreviations and the meanings of uppercase and lowercase letters are the same as in the following figure.
Table S1 Results of linear mixed-effects model assessing the independent and interactive effects of climate warming (W), nitrogen deposition (N), and year (Y) on plant biomass
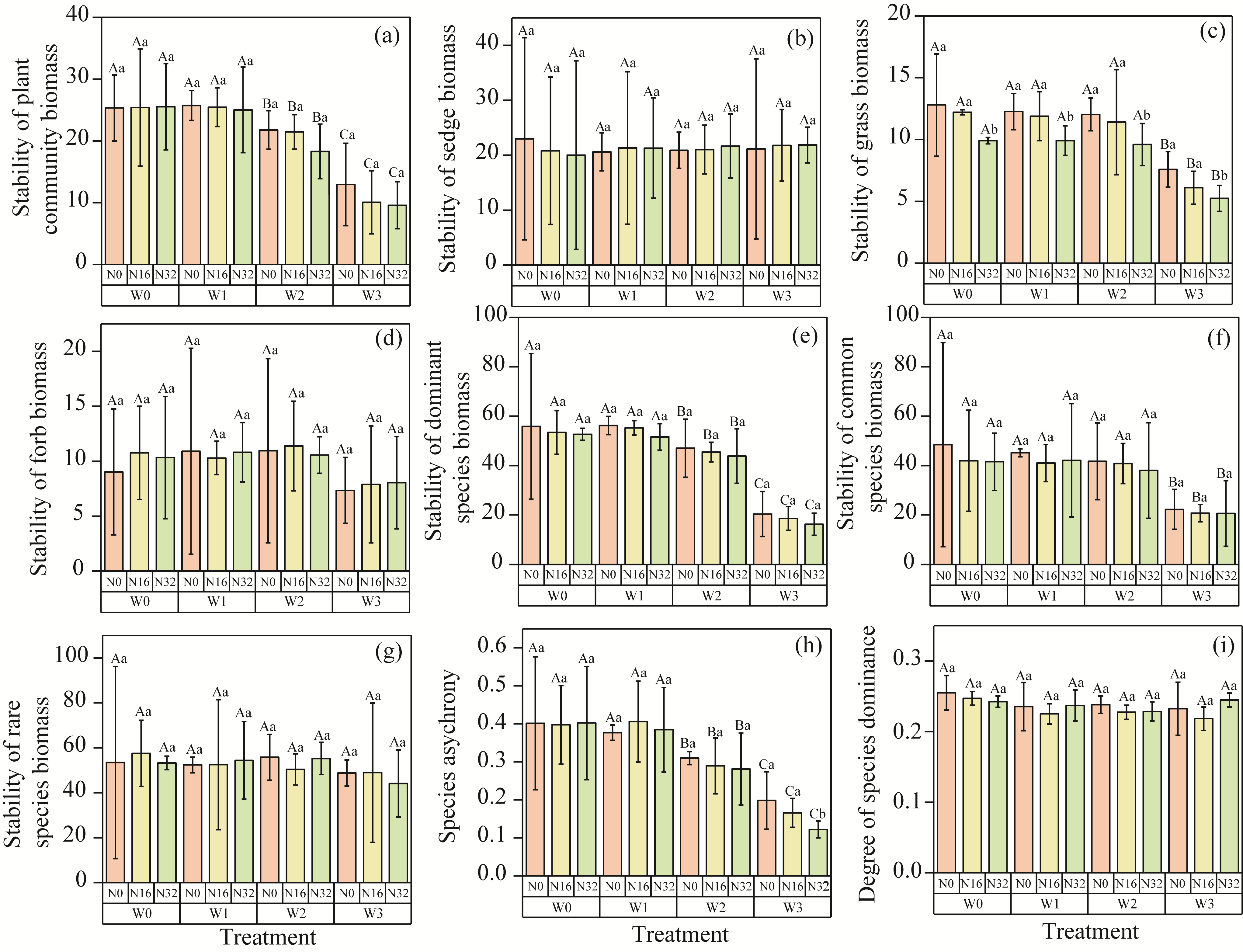
Fig. 3 Effects of climate warming and nitrogen deposition on temporal biomass stability. (a), stability of plant community biomass; (b), stability of sedge biomass; (c), stability of grass biomass; (d), stability of forb biomass; (e), stability of dominant species biomass; (f), stability of common species biomass; (g), stability of rare species biomass; (h), species asynchrony; (i), degree of species dominance.
Variable F or P value W N W×N
Stability of plant community biomass F 10.53 0.25 0.09
P 0.000 0.770 0.990
Stability of sedge biomass F 0.05 0.00 0.03
P 0.650 0.990 0.840
Stability of grass biomass F 17.54 6.03 2.10
P 0.000 0.010 0.020
Stability of forb biomass F 0.94 0.04 0.05
P 0.430 0.960 0.790
Stability of dominant species biomass F 29.44 0.49 4.01
P 0.000 0.610 0.010
Stability of common species biomass F 4.34 0.22 0.23
P 0.010 0.810 0.630
Stability of rare species biomass F 0.35 0.01 0.08
P 0.790 0.990 0.990
Species asynchrony F 16.01 0.27 5.19
P 0.000 0.760 0.010
Degree of species dominance F 1.97 1.30 0.54
P 0.140 0.290 0.780
Table S2 Results of linear mixed model assessing individual or interactive effects of climate warming (W) and nitrogen deposition (N) on the temporal stability of the biomass of plant community and different functional groups, as well as on the species asynchrony and degree of species dominance
Fig. 4 Relationships between stability of plant community biomass and various predictive factors. (a), stability of sedge biomass; (b), stability of grass biomass; (c), stability of forb biomass; (d), stability of dominant species biomass; (e), stability of common species biomass; (f), stability of rare species biomass; (g), species asynchrony; (h), degree of species dominance. The shaded area denotes the 95.00% confidence interval.
Fig. 5 Structural equation model (SEM) illustrating the effects of climate warming and nitrogen deposition on the stability of plant community biomass (a) and standardized total, direct, and indirect effects of climate warming and nitrogen deposition on the stability of plant community biomass (b). *, P<0.050 level; **, P<0.010 level; ***, P<0.001 level. CFI, comparative fit index; RMSEA, root mean square error of approximation; AIC, Akaike information criterion.
[1]   Baert J M, De Laender F, Sabbe K, et al. 2016. Biodiversity increases functional and compositional resistance, but decreases resilience in phytoplankton communities. Ecology, 97: 3433-3440.
doi: 10.1002/ecy.1601 pmid: 27912020
[2]   Bai Y F, Han X G, Wu J G, et al. 2004. Ecosystem stability and compensatory effects in the Inner Mongolia grassland. Nature, 431: 181-184.
[3]   Chen J, Luo Y Q, Xia J Y, et al. 2017. Warming effects on ecosystem carbon fluxes are modulated by plant functional types. Ecosystems, 20: 515-526.
[4]   Chen Q Q, Wang S P, Seabloom E W, et al. 2022. Nutrients and herbivores impact grassland stability across spatial scales through different pathways. Global Change Biology, 28(8): 2678-2688.
[5]   DeMalach N, Kadmon R. 2017. Light competition explains diversity decline better than niche dimensionality. Functional Ecology, 31(9): 1834-1838.
[6]   Dong S K, Shang Z H, Gao J X, et al. 2022. Enhancing the ecological services of the Qinghai-Tibetan Plateau's grasslands through sustainable restoration and management in era of global change. Agriculture Ecosystems & Environment, 326: 107756, doi: 10.1016/j.agee.2021.107756.
[7]   Donohue I, Hillebrand H, Montoya J M, et al. 2016. Navigating the complexity of ecological stability. Ecology Letters, 19(9): 1172-1185.
doi: 10.1111/ele.12648 pmid: 27432641
[8]   Fu G, Shen Z X. 2016a. Environmental humidity regulates effects of experimental warming on vegetation index and biomass production in an alpine meadow of the northern Tibet. PLoS ONE, 11(10): e0165643, doi: 10.1371/journal.pone.0165643.
[9]   Fu G, Shen Z X. 2016b. Response of alpine plants to nitrogen addition on the Tibetan Plateau: A meta-analysis. Journal of Plant Growth Regulation, 35: 974-979.
[10]   Galloway J N, Dentener F J, Capone D G, et al. 2004. Nitrogen cycles: Past, present, and future. Biogeochemistry, 70: 153-226.
[11]   Grime J P. 1998. Benefits of plant diversity to ecosystems: Immediate, filter and founder effects. Journal of Ecology, 86(6): 902-910.
[12]   Grman E, Lau J A, Schoolmaster D R, et al. 2010. Mechanisms contributing to stability in ecosystem function depend on the environmental context. Ecology Letters, 13(11): 1400-1410.
doi: 10.1111/j.1461-0248.2010.01533.x pmid: 20849440
[13]   Guo H B, Quan Q, Niu S L, et al. 2023. Shifting biomass allocation and light limitation co-regulate the temporal stability of an alpine meadow under eutrophication. Science of the Total Environment, 860: 160411, doi: 10.1016/j.scitotenv.2022.160411.
[14]   Han F S, Yu C Q, Fu G. 2023. Non-growing/growing season non-uniform-warming increases precipitation use efficiency but reduces its temporal stability in an alpine meadow. Frontiers in Plant Science, 14: 1090204, doi: 10.3389/fpls.2023.1090204.
[15]   Harpole W S, Sullivan L L, Lind E M, et al. 2016. Addition of multiple limiting resources reduces grassland diversity. Nature, 537: 93-96.
[16]   Hautier Y, Seabloom E W, Borer E T, et al. 2014. Eutrophication weakens stabilizing effects of diversity in natural grasslands. Nature, 508: 521-525.
[17]   Houlahan J E, Currie D J, Cottenie K, et al. 2018. Negative relationships between species richness and temporal variability are common but weak in natural systems. Ecology, 99(11): 2592-2604.
doi: 10.1002/ecy.2514 pmid: 30198573
[18]   Jiang Q X, Zhu J T, Shi P L, et al. 2024. Species asynchrony maintains community stability under different warming conditions. Journal of Plant Ecology, 17(3): rtae037, doi: 10.1093/jpe/rtae037.
[19]   Kwaku E A, Dong S K, Shen H, et al. 2021. Biomass and species diversity of different alpine plant communities respond differently to nitrogen deposition and experimental warming. Plants, 10(12): 2719, doi: 10.3390/plants10122719.
[20]   Li C L, Li Y H, Li X W, et al. 2021a. Differential responses of plant primary productivity to nutrient addition in natural and restored alpine grasslands in the Qinghai Lake Basin. Frontiers in Plant Science, 12: 792123, doi: 10.3389/fpls.2021.792123.
[21]   Li C Y, Peng F, Xue X, et al. 2018a. Productivity and quality of alpine grassland vary with soil water availability under experimental warming. Frontiers in Plant Science, 9: 01790, doi: 10.3389/fpls.2018.01790.
[22]   Li C Y, Lai C M, Peng F, et al. 2021b. Dominant plant functional group determine the response of the temporal stability of plant community biomass to 9-year warming on the Qinghai-Tibetan Plateau. Frontiers in Plant Science, 12: 704138, doi: 10.3389/fpls.2021.704138.
[23]   Li X E, Zhu X X, Wang S P, et al. 2018b. Responses of biotic interactions of dominant and subordinate species to decadal warming and simulated rotational grazing in Tibetan alpine meadow. Science China-Life Sciences, 61: 849-859.
[24]   Liu X D, Ma Q H, Yu H Y, et al. 2021. Climate warming-induced drought constrains vegetation productivity by weakening the temporal stability of the plant community in an arid grassland ecosystem. Agricultural and Forest Meteorology, 307: 108526, doi: 10.1016/j.agrformet.2021.108526.
[25]   López D R, Brizuela M A, Willems P, et al. 2013. Linking ecosystem resistance, resilience, and stability in steppes of North Patagonia. Ecological Indicators, 24: 1-11.
[26]   Loreau M, de Mazancourt C. 2008. Species synchrony and its drivers: Neutral and nonneutral community dynamics in fluctuating environments. American Naturalist, 172(2): 48-66.
[27]   Loreau M, de Mazancourt C. 2013. Biodiversity and ecosystem stability: A synthesis of underlying mechanisms. Ecology Letters, 16: 106-115.
[28]   Ma F F, Chen W N, Wang J S, et al. 2023. Below-ground net primary productivity stability in response to a nitrogen addition gradient in an alpine meadow. Functional Ecology, 37: 315-326.
[29]   Ma Z Y, Liu H Y, Mi Z R, et al. 2017. Climate warming reduces the temporal stability of plant community biomass production. Nature Communications, 8: 15378, doi: 10.1038/ncomms15378.
pmid: 28488673
[30]   Muraina T O, Xu C, Yu Q, et al. 2021. Species asynchrony stabilises productivity under extreme drought across northern China grasslands. Journal of Ecology, 109(4): 1665-1675.
[31]   Pang Z, Jiang L L, Wang S P, et al. 2019. Differential response to warming of the uptake of nitrogen by plant species in non-degraded and degraded alpine grasslands. Journal of Soils and Sediments, 19: 2212-2221.
doi: 10.1007/s11368-019-02255-0
[32]   Peng Y F, Li F, Zhou G Y, et al. 2017. Nonlinear response of soil respiration to increasing nitrogen additions in a Tibetan alpine steppe. Environmental Research Letters, 12(2): 024018, doi: 10.1088/1748-9326/aa5ba6.
[33]   Polley H W, Wilsey B J, Derner J D. 2007. Dominant species constrain effects of species diversity on temporal variability in biomass production of tallgrass prairie. Oikos, 116(2): 2044-2052.
[34]   Shen H, Dong S K, Li S, et al. 2019. Effects of simulated N deposition on photosynthesis and productivity of key plants from different functional groups of alpine meadow on Qinghai-Tibetan Plateau. Environmental Pollution, 251: 731-737.
[35]   Shi Z, Xu X, Souza L, et al. 2016. Dual mechanisms regulate ecosystem stability under decade-long warming and hay harvest. Nature Communications, 7: 11973, doi: 10.1038/ncomms11973.
pmid: 27302085
[36]   Smith B, Wilson J B. 1996. A consumer's guide to evenness indices. Oikos, 76(1): 70-82.
[37]   Tao H F, Hao L W, Li S T, et al. 2021. Geochemistry and petrography of the sediments from the marginal areas of Qinghai Lake, northern Tibet Plateau, China: Implications for weathering and provenance. Frontiers in Earth Science, 9: 725553, doi: 10.3389/feart.2021.725553.
[38]   Wan Z Q, Gu R, Ganjurjav H, et al. 2024. The stability of aboveground productivity in a semiarid steppe in China is influenced by the plant community structure. Communications Earth & Environment, 5: 523, doi: 10.1038/s43247-024-01702-2.
[39]   Wang C Y, Wang J B, Zhang F W, et al. 2022. Stability response of alpine meadow communities to temperature and precipitation changes on the northern Tibetan Plateau. Ecology and Evolution, 12(2): e8592, doi: 10.1002/ece3.8592.
[40]   Wang J F, Knops J M H, Brassil C E, et al. 2017. Increased productivity in wet years drives a decline in ecosystem stability with nitrogen additions in arid grasslands. Ecology, 98(7): 1779-1786.
doi: 10.1002/ecy.1878 pmid: 28452051
[41]   Wang S P, Duan J C, Xu G P, et al. 2012. Effects of warming and grazing on soil N availability, species composition, and ANPP in an alpine meadow. Ecology, 93(11): 2365-2376.
pmid: 23236908
[42]   Wang Y H, Niu X X, Zhao L Q, et al. 2020. Biotic stability mechanisms in Inner Mongolian grassland. Proceedings of the Royal Society B-Biological Sciences, 287(1928): 20200675, doi: 10.1098/rspb.2020.0675.
[43]   Wei H X, Zhao J X, Luo T X. 2019. The effect of pika grazing on Stipa purpurea is amplified by warming but alleviated by increased precipitation in an alpine grassland. Plant Ecology, 220: 371-381.
[44]   Wu Q, Ren H Y, Wang Z W, et al. 2020. Additive negative effects of decadal warming and nitrogen addition on grassland community stability. Journal of Ecology, 108(4): 1442-1452.
[45]   Xu M H, Liu M, Xue X, et al. 2016. Warming effects on plant biomass allocation and correlations with the soil environment in an alpine meadow, China. Journal of Arid Land, 8(5): 773-786.
doi: 10.1007/s40333-016-0013-z
[46]   Xu Z W, Ren H Y, Li M H, et al. 2015. Environmental changes drive the temporal stability of semi-arid natural grasslands through altering species asynchrony. Journal of Ecology, 103(5): 1308-1316.
[47]   Yang G J, Lü X T, Stevens C J, et al. 2019. Mowing mitigates the negative impacts of N addition on plant species diversity. Oecologia, 189: 769-779.
[48]   Yang H J, Jiang L, Li L H, et al. 2012. Diversity-dependent stability under mowing and nutrient addition: Evidence from a 7-year grassland experiment. Ecology Letters, 15(6): 619-626.
doi: 10.1111/j.1461-0248.2012.01778.x pmid: 22487498
[49]   Yang Z L, van Ruijven J, Du G Z. 2011. The effects of long-term fertilization on the temporal stability of alpine meadow communities. Plant and Soil, 345: 315-324.
[50]   Yang Z L, Zhang Q, Su F L, et al. 2017. Daytime warming lowers community temporal stability by reducing the abundance of dominant, stable species. Global Change Biology, 23(1): 154-163.
doi: 10.1111/gcb.13391 pmid: 27275848
[51]   Zhang D Y, Peng Y F, Li F, et al. 2019. Trait identity and functional diversity co-drive response of ecosystem productivity to nitrogen enrichment. Journal of Ecology, 107(5): 2402-2414.
[52]   Zhang G Y, Shen Z X, Fu G. 2021. Function diversity of soil fungal community has little exclusive effects on the response of aboveground plant production to experimental warming in alpine grasslands. Applied Soil Ecology, 168: 104153, doi: 10.1016/j.apsoil.2021.104153.
[53]   Zhang J, Zuo X A, Lü P. 2023. Effects of grazing, extreme drought, extreme rainfall and nitrogen addition on vegetation characteristics and productivity of semi-arid grassland. International Journal of Environmental Research and Public Health, 20(2): 960, doi: 10.3390/ijerph20020960.
[54]   Zhang R, Shen H, Dong S K, et al. 2022. Effects of 5-year nitrogen addition on species composition and diversity of an alpine steppe plant community on Qinghai-Tibetan Plateau. Plants, 11(7): 966, doi: 10.3390/plants11070966.
[55]   Zhang T, Guo R, Gao S, et al. 2015. Responses of plant community composition and biomass production to warming and nitrogen deposition in a temperate meadow ecosystem. PLoS ONE, 10(4): e0123160, doi: 10.1371/journal.pone.0123160.
[56]   Zhang Y H, Loreau M, Lü X T, et al. 2016. Nitrogen enrichment weakens ecosystem stability through decreased species asynchrony and population stability in a temperate grassland. Global Change Biology, 22(4): 1445-1455.
doi: 10.1111/gcb.13140 pmid: 26511538
[57]   Zhang Y H, Loreau M, He N P, et al. 2017. Mowing exacerbates the loss of ecosystem stability under nitrogen enrichment in a temperate grassland. Functional Ecology, 31(8): 1637-1646.
doi: 10.1111/1365-2435.12850 pmid: 28867865
[58]   Zhao Y N, Yang B, Li M X, et al. 2019. Community composition, structure and productivity in response to nitrogen and phosphorus additions in a temperate meadow. Science of the Total Environment, 654: 863-871.
[59]   Zhou B R, Li S, Li F, et al. 2019. Plant functional groups asynchrony keep the community biomass stability along with the climate change-a 20-year experimental observation of alpine meadow in eastern Qinghai-Tibet Plateau. Agriculture Ecosystems & Environment, 282: 49-57.
[60]   Zong N, Hou G, Shi P L, et al. 2023. Winter warming alleviates the severely negative effects of nitrogen addition on ecosystem stability in a Tibetan alpine grassland. Science of the Total Environment, 855: 158923, doi: 10.1016/j.scitotenv.2022.158923.
[61]   Zwolicki A, Zmudczynska-Skarbek K, Richard P, et al. 2016. Importance of marine-derived nutrients supplied by planktivorous seabirds to high arctic tundra plant communities. PLoS ONE, 11(5): e0154950, doi: 10.1371/journal.pone.0154950.
[1] XIU Xiaomin, WU Bo, CHEN Qian, LI Yiran, PANG Yingjun, JIA Xiaohong, ZHU Jinlei, LU Qi. Spatio-temporal dynamics of desertification in China from 1970 to 2019: A meta-analysis[J]. Journal of Arid Land, 2025, 17(9): 1189-1214.
[2] HE Bing, LI Ying, GAO Fan, XU Hailiang, WU Bin, YANG Pengnian, BAN Jingya, LIU Zeyi, LIU Kun, HAN Fanghong, MA Zhenghu, WANG Lu. Response of vegetation to climate change along the elevation gradient in High Mountain Asia[J]. Journal of Arid Land, 2025, 17(9): 1215-1233.
[3] QIU Yuhao, DUAN Limin, CHEN Siyi, WANG Donghua, ZHANG Wenrui, GAO Ruizhong, WANG Guoqiang, LIU Tingxi. Combined application of variable infiltration capacity model and Budyko hypothesis for identification of runoff evolution in the Yellow River Basin, China[J]. Journal of Arid Land, 2025, 17(8): 1048-1063.
[4] MA Junyao, YANG Kun, ZHANG Xuyang, WANG Leiyu, XUE Yayong. Long-term vegetation dynamics and its drivers in the north of China[J]. Journal of Arid Land, 2025, 17(8): 1064-1083.
[5] XI Ruiyun, PEI Tingting, CHEN Ying, XIE Baopeng, HOU Li, WANG Wen. Spatiotemporal dynamic and drivers of ecological environmental quality on the Chinese Loess Plateau: Insights from kRSEI model and climate-human interaction analysis[J]. Journal of Arid Land, 2025, 17(7): 958-978.
[6] Ilan STAVI, Gal KAGAN, Sivan ISAACSON. Properties, challenges, and opportunities of the loess plains in the northern Negev Desert: A review[J]. Journal of Arid Land, 2025, 17(6): 715-734.
[7] LIU Huan, YAO Yuyan, AI Zemin, DANG Xiaohu, CAO Yong, LI Qingqing, HOU Mengjia, HU Haoli, ZHANG Yuanyuan, CAO Tian. Spatial and temporal evolution of forage-livestock balance in the agro-pastoral transition zone of northern China[J]. Journal of Arid Land, 2025, 17(6): 754-771.
[8] LI Wei, WANG Yixuan, DUAN Limin, TONG Xin, WU Yingjie, ZHAO Shuixia. Non-stationary characteristics and causes of extreme precipitation in a desert steppe in Inner Mongolia, China[J]. Journal of Arid Land, 2025, 17(5): 590-604.
[9] CHAO Yan, ZHU Yonghua, WANG Xiaohan, LI Jiamin, LIANG Li'e. Dynamic evolution of the NDVI and driving factors in the Mu Us Sandy Land of China from 2002 to 2021[J]. Journal of Arid Land, 2025, 17(5): 605-623.
[10] Inom JURAMURODOV, Rustam URALOV, Dilmurod MAKHMUDJANOV, LU Chunfang, Feruz AKBAROV, Sardor PULATOV, Bakhtiyor KARIMOV, Orzimat TURGINOV, Komiljon TOJIBAEV. Assessment of plant diversity in the Surkhan-Sherabad Region, Uzbekistan by grid mapping[J]. Journal of Arid Land, 2025, 17(3): 394-410.
[11] LYU Leting, JIANG Ruifeng, ZHENG Defeng, LIANG Liheng. Impact of climate change and land use/cover change on water yield in the Liaohe River Basin, Northeast China[J]. Journal of Arid Land, 2025, 17(2): 182-199.
[12] HAO Mingyang, HE Jianuo, HU Weiyin, ZHAO Zhou, LI Can, SONG Shikai, ZOU Xueyong, CHANG Chunping, GUO Zhongling. Effects of dry soil aggregate size on organic carbon, total nitrogen, and soil texture under different land uses[J]. Journal of Arid Land, 2025, 17(10): 1482-1495.
[13] ZHANG Jing, XU Changchun, WANG Hongyu, WANG Yazhen, LONG Junchen. Runoff simulation and hydropower resource prediction of the Kaidu River Basin in the Tianshan Mountains, China[J]. Journal of Arid Land, 2025, 17(1): 1-18.
[14] LIU Yuke, HUANG Chenlu, YANG Chun, CHEN Chen. Spatiotemporal variation and driving factors of vegetation net primary productivity in the Guanzhong Plain Urban Agglomeration, China from 2001 to 2020[J]. Journal of Arid Land, 2025, 17(1): 74-92.
[15] CHEN Zhuo, SHAO Minghao, HU Zihao, GAO Xin, LEI Jiaqiang. Potential distribution of Haloxylon ammodendron in Central Asia under climate change[J]. Journal of Arid Land, 2024, 16(9): 1255-1269.