Please wait a minute...
Journal of Arid Land  2025, Vol. 17 Issue (10): 1458-1481    DOI: 10.1007/s40333-025-0088-5     CSTR: 32276.14.JAL.02500885
Research article     
Impacts of continuous melon cropping on soil properties and microbial network restructuring
HAN Runqiang1,2, SHI Yao1,2, WANG Haojie3, KUANG Zuoyu4, HAILATI Daren1,2, SHEN Zhengran1,2, MA Yanyu1,2, XUE Nana1,2,*()
1College of Resources and Environment, Xinjiang Agricultural University, Urumqi 830052, China
2Xinjiang Key Laboratory of Soil and Plant Ecological Processes, Urumqi 830052, China
3Hami Melon Research Center, Xinjiang Academy of Agricultural Sciences, Urumqi 830052, China
4Agricultural Technology Promotion Center in Jiashi County, Jiashi 844300, China
Download: HTML     PDF(6113KB)
Export: BibTeX | EndNote (RIS)      

Abstract  

Continuous cropping can lead to soil environment deterioration, cause plant health problems, and reduce crop productivity. However, the response mechanisms of soil microbial co-occurrence patterns to the duration of continuous melon cropping remain poorly understood. Here, we employed the metagenomic techniques to comparatively investigate the bulk and rhizosphere soil microbial communities of major melon-producing regions (where the duration of continuous melon cropping ranges from 1 to 30 a) in the eastern and southern parts of Xinjiang Uygur Autonomous Region, China. The results showed that soil pH clearly decreased with increasing melon cropping duration, while soil electrical conductivity (EC) and the other soil nutrient indices increased with increasing melon cropping duration (with the exception of AN and TK in the southern melon-producing region). The most dominant bacterial phyla were Proteobacteria and Actinobacteria, and the most abundant fungal phyla were Ascomycota and Mucoromycota. Redundancy analysis (RDA) indicated that soil pH and EC had no significant effects on the bacterial communities. However, after many years of continuous melon cropping in the southern melon-producing region, fungal communities were significantly negatively correlated with soil pH and significantly positively correlated with soil EC (P<0.050). Co-occurrence network analysis showed that continuous melon cropping increased the complexity but decreased the connectivity of the cross-domain microbial networks. Moreover, the enrichment patterns of microorganisms in the main microbial network modules varied significantly with the duration of continuous melon cropping. Based on the analysis of keystone taxa, we found that continuous melon cropping increased some plant pathogens (e.g., Fusarium and Stagonospora) but decreased beneficial bacteria (e.g., Mesorhizobium and Pseudoxanthomonas). In conclusion, this study has greatly enhanced the understanding of the effects of continuous melon cropping on alterations in the microbial community structure and ecological networks in Xinjiang.



Key wordsmelon      continuous cropping      microbial community      ecological networks      metagenomic sequencing      redundancy analysis (RDA)      keystone taxa     
Received: 05 March 2025      Published: 31 October 2025
Corresponding Authors: *XUE Nana (E-mail: xuenana0522@xjau.edu.cn)
Cite this article:

HAN Runqiang, SHI Yao, WANG Haojie, KUANG Zuoyu, HAILATI Daren, SHEN Zhengran, MA Yanyu, XUE Nana. Impacts of continuous melon cropping on soil properties and microbial network restructuring. Journal of Arid Land, 2025, 17(10): 1458-1481.

URL:

http://jal.xjegi.com/10.1007/s40333-025-0088-5     OR     http://jal.xjegi.com/Y2025/V17/I10/1458

Soil property Eastern region Southern region
S M L S M
pH 8.20±0.06a 7.86±0.20b 7.68±0.06c 8.14±0.17a 7.72±0.10b
EC (µS/cm) 476.32±53.36b 872.43±50.02ab 969.37±97.31a 1437.14±183.92b 3057.00±223.31a
SOC (g/kg) 7.21±0.61b 6.84±0.50b 36.34±1.68a 10.25±1.82b 25.37±2.28a
AN (mg/kg) 8.85±0.98b 20.35±2.35a 24.40±3.19a 32.33±2.07a 30.00±2.23a
AP (mg/kg) 17.41±1.88b 29.80±2.35b 186.25±15.11a 28.66±1.71b 233.52±26.49a
AK (mg/kg) 101.62±9.55c 149.90±12.46b 615.13±44.87a 309.24±18.74b 612.50±48.00a
TN (g/kg) 0.50±0.09b 0.39±0.03b 2.14±0.11a 0.76±0.04b 1.59±0.13a
TP (g/kg) 0.69±0.08b 0.75±0.03b 1.67±0.25a 0.78±0.09b 1.55±0.19a
TK (g/kg) 2.83±0.27b 3.42±0.42b 5.91±0.36a 8.44±1.14a 8.03±0.24a
Table 1 Soil chemical properties in the two maior melon-producing regions with different durations of continuous cropping
Fig. 1 Microbial community structure in the bulk and rhizosphere soils of the two maior crop-producing regions with different durations of continuous cropping. (a), relative abundances of bacterial phyla in the eastern region; (b), relative abundances of fungal phyla in the eastern region; (c), relative abundances of bacterial phyla in the southern region; (d), relative abundances of fungal phyla in the southern region. In the eastern region, S denotes short-term cropping for fields with 4-9 a of continuous cropping, M denotes medium-term cropping for fields with 10-19 a of continuous cropping, and L denotes long-term cropping for fields with 20-30 a of continuous cropping; in the southern region, S denotes short-term cropping for fields with 1-2 a of continuous cropping, and M denotes medium-term cropping for fields with 3-5 a of continuous cropping.
Fig. S1 Microbial community alpha diversity in the bulk and rhizosphere soils of the two maior melon-producing regions with different durations of continuous cropping. (a), Shannon index of soil bacteria in the eastern region; (b), Shannon index of soil fungi in the eastern region; (c), Shannon index of soil bacteria in the southern region; (d), Shannon index of soil fungi in the southern region. In the eastern region, S denotes short-term cropping for fields with 4-9 a of continuous cropping, M denotes medium-term cropping for fields with 10-19 a of continuous cropping, and L denotes long-term cropping for fields with 20-30 a of continuous cropping; in the southern region, S denotes short-term cropping for fields with 1-2 a of continuous cropping, and M denotes medium-term cropping for fields with 3-5 a of continuous cropping. The box boundaries represent the interquartile range (IQR) of the data, which is the range from the 25th percentile (Q1) to the 75th percentile (Q3). Whiskers below and above the box indicate the minimum and maximum ranges of the data distribution, respectively. The horizontal line within the box indicates the median of the Shannon index for each data group, reflecting the central tendency of diversity. The dots represent data points. * indicates a significant difference between data groups at P<0.050 level; ** indicates a significant difference between data groups at P<0.010 level.
Comparison between two groups Bacteria Fungi
Bulk soil Rhizosphere soil Bulk soil Rhizosphere soil
R2 P R2 P R2 P R2 P
S-M 0.11 0.090 0.13 0.007 0.12 0.017 0.09 0.060
S-L 0.47 0.005 0.25 0.003 0.25 0.001 0.24 0.001
M-L 0.34 0.001 0.19 0.009 0.15 0.002 0.15 0.015
Table S1 Pairwise Adonis test based on Bray-Curtis distance in the bulk and rhizosphere soils of the eastern melon-producing region
Comparison between two groups Bacteria Fungi
Bulk soil Rhizosphere soil Bulk soil Rhizosphere soil
R2 P R2 P R2 P R2 P
S-M 0.15 0.040 0.17 0.013 0.18 0.008 0.14 0.005
Table S2 Pairwise Adonis test based on Bray-Curtis distance in the bulk and rhizosphere soils of the southern melon-producing region
Fig. S2 Bray-Curtis principal co-ordinates analysis (PCoA) of soil bacterial and fungal communities in the bulk and rhizosphere soils of the eastern (a and b) and southern (c and d) melon-producing regions with different durations of continuous cropping. PCo1 and PCo2 indicate the first and second axes of variation in microbial community composition, respectively.
Soil property Eastern region Southern region
Bacterial community Fungal community Bacterial community Fungal community
pH 0.39* 0.33* 0.06 0.48*
EC 0.49*** 0.47*** 0.10 0.88***
SOC 0.58*** 0.75*** 0.51* 0.44*
AN 0.47** 0.54** 0.43* 0.46*
AP 0.65*** 0.81*** 0.47* 0.38
AK 0.66*** 0.59** 0.63** 0.43*
TN 0.67*** 0.69*** 0.43* 0.44*
TP 0.68*** 0.45** 0.49* 0.48*
TK 0.71*** 0.41** 0.32 0.55**
Table 2 Redundancy analysis (RDA) of rhizosphere soil microbial communities in the two maior melon-producing regions
Fig. S3 Redundancy analysis (RAD) of soil bacterial and fungal communities in the rhizosphere soil of the eastern (a and b) and southern (c and d) melon-producing regions with different durations of continuous cropping. RDA1 and RDA2 indicate the first and second environmental gradients responsible for the largest proportion of variation in microbial community structure, respectively. EC, electrical conductivity; SOC, soil organic carbon; AN, available nitrogen; AP, available phosphorus; AK, available potassium; TN, total nitrogen; TP, total phosphorus; TK, total potassium.
Fig. 2 Correlation networks for bacterial and fungal taxa in the bulk and rhizosphere soils of the eastern (a) and southern (b) melon-producing regions with different durations of continuous cropping
Network topological property Eastern region Southern region
Bulk soil Rhizosphere soil Bulk soil Rhizosphere soil
S M L S M L S M S M
Edge 3225 1319 6309 1250 1349 9506 1270 1788 845 1553
Positive edge 3020 1315 5706 1150 1063 6163 1199 1424 452 1017
Negative edge 205 4 603 100 286 3343 71 364 393 536
Node 899 442 1732 676 1068 3920 527 999 810 1165
Node proportion (bacteria/fungi) 2.11 0.31 2.38 0.93 3.06 6.85 1.55 1.62 7.44 2.64
Connectance 0.008 0.014 0.004 0.005 0.002 0.001 0.009 0.004 0.003 0.002
Average degree 7.17 5.97 7.29 3.70 2.53 4.85 4.82 3.58 2.09 2.67
Average path length 1.75 1.79 1.75 1.96 3.02 1.96 1.82 1.86 2.68 1.96
Table S3 Cross-domain network topological characteristics in the bulk and rhizosphere soils of the two maior melon-producing regions
Fig. 3 Co-occurrence network diagram of significantly enriched soil microbial communities in the two maior melon-producing regions with different durations of continuous cropping. (a and b), co-occurrence network between bacterial and fungal taxa in the bulk and rhizosphere soil communities of the eastern region; (c and d), co-occurrence network between bacterial and fungal taxa in the bulk and rhizosphere soil communities of the southern region. Significant correlations with Spearman's |r|>0.9 and P<0.050 are shown in the figure and indicated by gray lines. The network nodes are colored according to the enriched taxa in different groups, with non-significantly different taxa shown in gray. The shaded areas represent the 3 network modules with the highest cumulative relative abundance. The bar charts show the cumulative relative abundance of each taxon within the modules. Different lowercase letters within the same module indicate significant differences among different groups at P<0.050 level. ns, non-significance; *, significance at P<0.050 level; **, significance at P<0.010 level. The vertical lines on the bars represent the standard deviations.
Fig. S4 Bipartite networks revealing the specific species of bacterial and fungal communities in the bulk and rhizosphere soils of the eastern (a and c) and southern (b and d) melon-producing regions with different durations of continuous cropping (based on indicator species analysis). The gray lines indicate significant positive correlations between species and cropping duration (P<0.050), meaning that these species have higher abundance or specifically occur in certain cropping systems.
Fig. S5 Bacterial (a-f) and fungal (g-l) keystone taxa identified in the bulk and rhizosphere soil microbial communities of the eastern melon-producing region with different durations of continuous cropping based on specificity-occupancy (SPEC-OCCU) analysis. The red dotted boxes indicate that both occupancy and specificity are greater than or equal to 0.7, which signifies a specialized species.
Fig. S6 Bacterial (a-d) and fungal (e-h) keystone taxa identified in the bulk and rhizosphere soil microbial communities of the southern melon-producing region with different durations of continuous cropping based on SPEC-OCCU analysis. The red dotted boxes indicate that both occupancy and specificity are greater than or equal to 0.7, which signifies a specialized species.
Fig. 4 Venn diagrams displaying the bacterial and fungal keystone taxa identified through indicator species and specificity-occupancy (SPEC-OCCU) analyses in the bulk and rhizosphere soils from the eastern (a and b) and southern (c and d) melon-producing regions. The red numbers and blue numbers indicate the keystone taxa identified in the bulk soil and rhizosphere soil, respectively, based on the two methods.
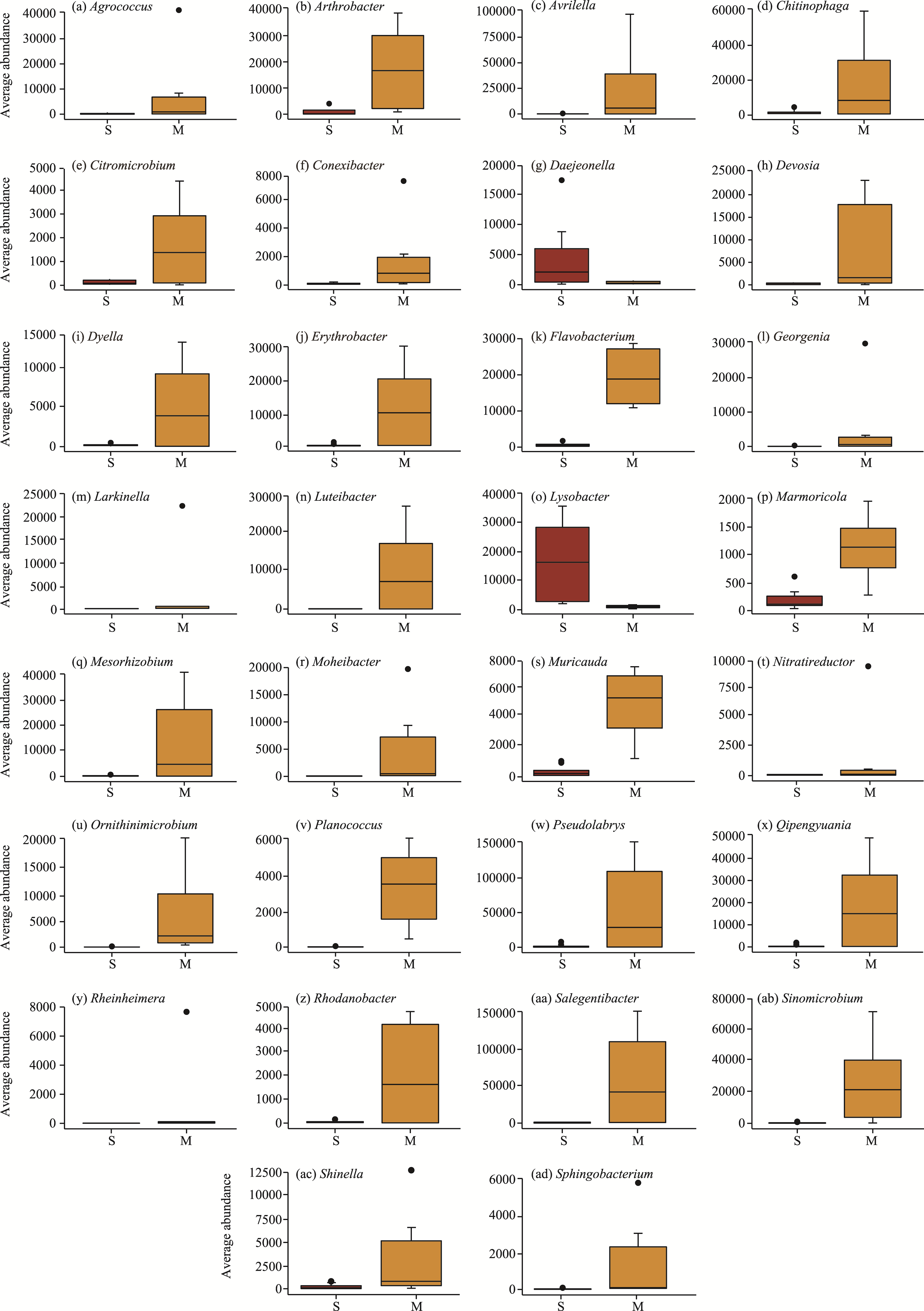
Fig. S7 Abundance of keystone bacterial genera (a-g) in the bulk soil of the eastern melon-producing region with different durations of continuous cropping. The box boundaries represent the interquartile range (IQR) of the data from the 25th percentile (Q1) to the 75th percentile (Q3). Whiskers below and above the box indicate the minimum and maximum ranges of the data distribution, respectively. The horizontal line within the box indicates the median of the average abundance of species for each data group, reflecting the central tendency of diversity. The dots represent outliers. The meanings of each element in the box plot are the same in the following figures.
Fig. S8 Abundance of keystone fungal genera (a-d) in the bulk soil of the eastern melon-producing region with different durations of continuous cropping
Fig. S9 Abundance of keystone bacterial genera (a-al) in the rhizosphere soil of the eastern melon-producing region with different durations of continuous cropping
Fig. S10 Abundance of keystone fungal genera (a and b) in the rhizosphere soil of the eastern melon-producing region with different durations of continuous cropping
Fig. S11 Abundance of the keystone fungal genus (Penicillium) in the bulk soil of the southern melon-producing region with different durations of continuous cropping
Fig. S12 Abundance of the keystone fungal genera (a and b) in the rhizosphere soil of the southern melon-producing region with different durations of continuous cropping
Fig. S13 Abundance of keystone bacterial genera (a and b) in the bulk soil of the southern melon-producing region with different durations of continuous cropping
Fig. S14 Abundance of the keystone bacterial genera (a-ad) in the rhizosphere soil of the southern melon-producing region with different durations of continuous cropping
Fig. 5 Correlations between the soil chemical properties and keystone taxa in the bulk and rhizosphere soils of eastern (a and b) and southern (c and d) melon-producing regions. EC, electrical conductivity; SOC, soil organic carbon; AN, available nitrogen; AP, available phosphorus; AK, available potassium; TN, total nitrogen; TP, total phosphorus; TK, total potassium. Only significant correlations with P<0.050 are shown in the figure. Nodes in the outer ring represent key species, with black font indicating bacterial genera and red font indicating fungal genera. The nodes in the inner ring represent various soil chemical properties. The size of each node is proportional to its connectivity.
[1]   Arafat Y, Tayyab M, Khan M U, et al. 2019. Long-term monoculture negatively regulates fungal community composition and abundance of tea orchards. Agronomy, 9(8): 466, doi: 10.3390/agronomy9080466.
[2]   Bastian M, Heymann S, Jacomy M. 2009. Gephi: an open source software for exploring and manipulating networks. Proceedings of the International AAAI Conference on Web and Social Media, 3(1): 361-362.
[3]   Cao W R, Zhang L Z, Hu Y H, et al. 2020. Salinimicrobium nanhaiense sp. nov. and Salinimicrobium oceani sp. nov., two novel species of the family Flavobacteriaceae isolated from the South China Sea. International Journal of Systematic and Evolutionary Microbiology, 70(10): 5263-5270.
[4]   Chen C, Lü Q, Tang Q. 2024. Impact of bio-organic fertilizer and reduced chemical fertilizer application on physical and hydraulic properties of cucumber continuous cropping soil. Biomass Conversion and Biorefinery, 14(1): 921-930.
[5]   Chen Y D, Du J F, Li Y, et al. 2022. Evolutions and managements of soil microbial community structure drove by continuous cropping. Frontiers in Microbiology, 13: 839494, doi: 10.3389/fmicb.2022.839494.
[6]   Cho Y R, Chung H W, Jang G I, et al. 2013. Gracilimonas rosea sp. nov., isolated from tropical seawater, and emended description of the genus Gracilimonas. International Journal of Systematic and Evolutionary Microbiology, 63(11): 4006-4011.
[7]   Dang K, Ma Y F, Liang H F, et al. 2024. Distinct planting patterns exert legacy effects on the networks and assembly of root-associated microbiomes in subsequent crops. Science of the Total Environment, 946: 174276, doi: 10.1016/j.scitotenv.2024.174276.
[8]   de Cáceres M, Legendre P, Moretti M. 2010. Improving indicator species analysis by combining groups of sites. Oikos, 119(10): 1674-1684.
[9]   Delgado A, Gómez J A. 2024. The soil:physical, chemical, and biological properties. In: Villalobos F J, Fereres E. Principles of Agronomy for Sustainable Agriculture. Cham: Springer International Publishing, 15-26.
[10]   Dong L L, Xu J, Feng G Q, et al. 2016. Soil bacterial and fungal community dynamics in relation to Panax notoginseng death rate in a continuous cropping system. Scientific Reports, 6(1): 31802, doi: 10.1038/srep31802.
[11]   Du J, Liu Y, Zhu H H. 2022. Genome-based analyses of the genus Acidovorax: proposal of the two novel genera Paracidovorax gen. nov., Paenacidovorax gen. nov. and the reclassification of Acidovorax antarcticus as Comamonas antarctica comb. nov. and emended description of the genus Acidovorax. Archives of Microbiology, 205(1): 42, doi: 10.1007/s00203-022-03379-7.
[12]   Ekwomadu T I, Mwanza M. 2023. Fusarium fungi pathogens, identification, adverse effects, disease management, and global food security: a review of the latest research. Agriculture, 13(9): 1810, doi: 10.3390/agriculture13091810.
[13]   Ezzedine J A, Desdevises Y, Jacquet S. 2022. Bdellovibrio and like organisms: current understanding and knowledge gaps of the smallest cellular hunters of the microbial world. Critical Reviews in Microbiology, 48(4): 428-449.
[14]   Fierer N. 2017. Embracing the unknown: disentangling the complexities of the soil microbiome. Nature Reviews Microbiology, 15(10): 579-590.
doi: 10.1038/nrmicro.2017.87 pmid: 28824177
[15]   Fu X H, Huang Y, Fu Q, et al. 2023. Critical transition of soil microbial diversity and composition triggered by plant rhizosphere effects. Frontiers in Plant Science, 14: 1252821, doi: 10.3389/fpls.2023.1252821.
[16]   Guo L, Chen X W, Li Z Y, et al. 2022. Effects of continuous cropping on bacterial community and diversity in rhizosphere soil of industrial hemp: a five-year experiment. Diversity, 14(4): 250, doi: 10.3390/d14040250.
[17]   Gweon H S, Bowes M J, Moorhouse H L, et al. 2021. Contrasting community assembly processes structure lotic bacteria metacommunities along the river continuum. Environmental Microbiology, 23(1): 484-498.
doi: 10.1111/1462-2920.15337 pmid: 33258525
[18]   Ha M S, Ryu H, Ju H J, et al. 2023. Diversity and pathogenic characteristics of the Fusarium species isolated from minor legumes in Korea. Scientific Reports, 13(1): 22516, doi: 10.1038/s41598-023-49736-4.
[19]   Hao S Y, Zhang Y Y, Li R D, et al. 2024. Agrobacterium-mediated in planta transformation of horticultural plants: current status and future prospects. Scientia Horticulturae, 325: 112693, doi: 10.1016/j.scienta.2023.112693.
[20]   Hartemink A E, Barrow N J. 2023. Soil pH-nutrient relationships: the diagram. Plant and Soil, 486(1): 209-215.
[21]   Hartman K, van der Heijden M G A, Wittwer R A, et al. 2018. Cropping practices manipulate abundance patterns of root and soil microbiome members paving the way to smart farming. Microbiome, 6(1): 14, doi: 10.1186/s40168-017-0389-9.
pmid: 29338764
[22]   He D X, Yao X D, Zhang P Y, et al. 2023. Effects of continuous cropping on fungal community diversity and soil metabolites in soybean roots. Microbiology Spectrum, 11(6): e01786-23, doi: 10.1128/spectrum.01786-23.
[23]   Huang W J, Sun D L, Fu J T, et al. 2020. Effects of continuous sugar beet cropping on rhizospheric microbial communities. Genes, 11(1): 13, doi: 10.3390/genes11010013.
[24]   Hufnagel J, Reckling M, Ewert F. 2020. Diverse approaches to crop diversification in agricultural research. A review. Agronomy for Sustainable Development, 40(2): 14, doi: 10.1007/s13593-020-00617-4.
[25]   Ji L H, Xin Y, Guo D F. 2023. Soil fungal community structure and its effect on CO2 emissions in the Yellow River Delta. International Journal of Environmental Research and Public Health, 20(5): 4190, doi: 10.3390/ijerph20054190.
[26]   Jia J Y, Hu G Z, Ni G, et al. 2024. Bacteria drive soil multifunctionality while fungi are effective only at low pathogen abundance. Science of the Total Environment, 906: 167596, doi: 10.1016/j.scitotenv.2023.167596.
[27]   Kim J M, Roh A S, Choi S C, et al. 2016. Soil pH and electrical conductivity are key edaphic factors shaping bacterial communities of greenhouse soils in Korea. Journal of Microbiology, 54(12): 838-845.
doi: 10.1007/s12275-016-6526-5 pmid: 27888456
[28]   Ku Y L, Li W Q, Mei X L, et al. 2022. Biological control of melon continuous cropping obstacles: weakening the negative effects of the vicious cycle in continuous cropping soil. Microbiology Spectrum, 10(6): e01776-22, doi: 10.1128/spectrum.01776-22.
[29]   Li H Y, Li C H, Song X, et al. 2022. Impacts of continuous and rotational cropping practices on soil chemical properties and microbial communities during peanut cultivation. Scientific Reports, 12(1): 2758, doi: 10.1038/s41598-022-06789-1.
pmid: 35177784
[30]   Li J, Cheng X Y, Chu G X, et al. 2023a. Continuous cropping of cut chrysanthemum reduces rhizospheric soil bacterial community diversity and co-occurrence network complexity. Applied Soil Ecology, 185: 104801, doi: 10.1016/j.apsoil.2022.104801.
[31]   Li M Y, Wang J L, Zhou Q, et al. 2023b. Effects of continuous melon cropping on rhizospheric fungal communities. Rhizosphere, 27: 100726, doi: 10.1016/j.rhisph.2023.100726.
[32]   Li Y, Xiao J, de Hoog G S, et al. 2017. Biodiversity and human-pathogenicity of Phialophora verrucosa and relatives in Chaetothyriales. Persoonia, 38(1): 1-19.
[33]   Li Y, Tian D S, Pan J X, et al. 2023c. Different patterns and drivers of fungal communities between phyllosphere and rhizosphere in alpine grasslands. Functional Ecology, 37(3): 523-535.
[34]   Liu L J, Sun C L, Liu S R, et al. 2015. Bioorganic fertilizer enhances soil suppressive capacity against bacterial wilt of tomato. PLoS ONE, 10(4): e0121304, doi: 10.1371/journal.pone.0121304.
[35]   Liu S, Wang Z Y, Niu J F, et al. 2021. Changes in physicochemical properties, enzymatic activities, and the microbial community of soil significantly influence the continuous cropping of Panax quinquefolius L. (American ginseng). Plant and Soil, 463(1): 427-446.
[36]   Liu Y M, Li Z Y, Zhong C, et al. 2023. Alleviating effect of melatonin on melon seed germination under autotoxicity and saline-alkali combined stress. Journal of Plant Growth Regulation, 42(4): 2474-2485.
[37]   Liu Z G, Ren H S, Li H F, et al. 2020. Effects of different nitrogen application rates on growth, nutrient absorption and utilization of muskmelon in facilities. Xinjiang Agricultural Sciences, 57(10): 1792-1801. (in Chinese)
doi: 10.6048/j.issn.1001-4330.2020.10.004
[38]   Lopes L D, Hao J J, Schachtman D P. 2021. Alkaline soil pH affects bulk soil, rhizosphere and root endosphere microbiomes of plants growing in a sandhills ecosystem. FEMS Microbiology Ecology, 97(4): fiab028, doi: 10.1093/femsec/fiab028.
[39]   Lu L L, Wang B J, Zhang Y, et al. 2019. Identification and nitrogen removal characteristics of Thauera sp. FDN-01 and application in sequencing batch biofilm reactor. Science of the Total Environment, 690: 61-69.
[40]   Lund P A, de Biase D, Liran O, et al. 2020. Understanding how microorganisms respond to acid pH is central to their control and successful exploitation. Frontiers in Microbiology, 11: 556140, doi: 10.3389/fmicb.2020.556140.
[41]   Ma Z, Li P, Yang C Z, et al. 2023. Soil bacterial community response to continuous cropping of cotton. Frontiers in Microbiology, 14: 1125564, doi: 10.3389/fmicb.2023.1125564.
[42]   Manici L M, Caputo F, de Sabata D, et al. 2024. The enzyme patterns of Ascomycota and Basidiomycota fungi reveal their different functions in soil. Applied Soil Ecology, 196: 105323, doi: 10.1016/j.apsoil.2024.105323.
[43]   Mitra D, Mondal R, Khoshru B, et al. 2022. Actinobacteria-enhanced plant growth, nutrient acquisition, and crop protection: advances in soil, plant, and microbial multifactorial interactions. Pedosphere, 32(1): 149-170.
[44]   Mukherjee A, Reddy M S. 2020. Metatranscriptomics: an approach for retrieving novel eukaryotic genes from polluted and related environments. 3 Biotech, 10(2): 71, doi: 10.1007/s13205-020-2057-1.
[45]   Oliver R P, Friesen T L, Faris J D, et al. 2012. Stagonospora nodorum: from pathology to genomics and host resistance. Annual Review of Phytopathology, 50(1): 23-43.
[46]   Pang Z Q, Dong F, Liu Q, et al. 2021. Soil metagenomics reveals effects of continuous sugarcane cropping on the structure and functional pathway of rhizospheric microbial community. Frontiers in Microbiology, 12: 627569, doi: 10.3389/fmicb.2021.627569.
[47]   Pervaiz Z H, Iqbal J, Zhang Q M, et al. 2020. Continuous cropping alters multiple biotic and abiotic indicators of soil health. Soil Systems, 4(4): 59, doi: 10.3390/soilsystems4040059.
[48]   Philippot L, Chenu C, Kappler A, et al. 2024. The interplay between microbial communities and soil properties. Nature Reviews Microbiology, 22(4): 226-239.
[49]   Robinson M D, McCarthy D J, Smyth G K. 2010. EdgeR: a bioconductor package for differential expression analysis of digital gene expression data. Bioinformatics, 26(1): 139-140.
doi: 10.1093/bioinformatics/btp616 pmid: 19910308
[50]   Rousk J, Bååth E, Brookes P C, et al. 2010. Soil bacterial and fungal communities across a pH gradient in an arable soil. The ISME Journal, 4(10): 1340-1351.
[51]   Shi G Y, Sun H Q, Calderón‐Urrea A, et al. 2021. Bacterial communities as indicators of soil health under a continuous cropping system. Land Degradation & Development, 32(7): 2393-2408.
[52]   Spain A M, Krumholz L R, Elshahed M S. 2009. Abundance, composition, diversity and novelty of soil Proteobacteria. The ISME Journal, 3(8): 992-1000.
[53]   Su J Q, Ding L J, Xue K, et al. 2015. Long-term balanced fertilization increases the soil microbial functional diversity in a phosphorus-limited paddy soil. Molecular Ecology, 24(1): 136-150.
[54]   Szabó B, Váczy‐Földi M, Vad C F, et al. 2024. Connectivity loss in experimental pond networks leads to biodiversity loss in microbial metacommunities. Global Change Biology, 30(12): e70001, doi: 10.1111/gcb.70001.
[55]   Tan G, Liu Y J, Peng S G, et al. 2021. Soil potentials to resist continuous cropping obstacle: three field cases. Environmental Research, 200: 111319, doi: 10.1016/j.envres.2021.111319.
[56]   Wagg C, Schlaeppi K, Banerjee S, et al. 2019. Fungal-bacterial diversity and microbiome complexity predict ecosystem functioning. Nature Communications, 10(1): 4841, doi: 10.1038/s41467-019-12798-y.
pmid: 31649246
[57]   Wang J L, Li M Y, Zhou Q, et al. 2023. Effects of continuous cropping Jiashi muskmelon on rhizosphere microbial community. Frontiers in Microbiology, 13: 1086334, doi: 10.3389/fmicb.2022.1086334.
[58]   Wang R Q, Li X X, Lü F J, et al. 2024a. Sesame bacterial wilt significantly alters rhizosphere soil bacterial community structure, function, and metabolites in continuous cropping systems. Microbiological Research, 282: 127649, doi: 10.1016/j.micres.2024.127649.
[59]   Wang X, Yang M H, Gao L X, et al. 2024b. Continuous cropping obstacles: insights from the community composition and the imbalance carbon fluxes within soil nematode food web. Geoderma, 451: 117060, doi: 10.1016/j.geoderma.2024.117060.
[60]   Wen T, Xie P H, Yang S D, et al. 2022. GgClusterNet: An R package for microbiome network analysis and modularity-based multiple network layouts. iMeta, 1(3): e32, doi: 10.1002/imt2.32.
[61]   Xiong W, Li Z G, Liu H J, et al. 2015. The effect of long-term continuous cropping of black pepper on soil bacterial communities as determined by 454 pyrosequencing. PLoS ONE, 10(8): e0136946, doi: 10.1371/journal.pone.0136946.
[62]   Yuan R F, Wang F H, Xia Y. 2024. Development status and countermeasures of watermelon and muskmelon industry in Xinjiang. China Food Safety Magazine, 29: 176-179. (in Chinese)
[63]   Zhang Z Z, Zhang Z D, Han X Y, et al. 2020. Specific response mechanism to autotoxicity in melon (Cucumis melo L.) root revealed by physiological analyses combined with transcriptome profiling. Ecotoxicology and Environmental Safety, 200: 110779, doi: 10.1016/j.ecoenv.2020.110779.
[64]   Zhang Z Z, Wu J H, Xi Y P, et al. 2022. Effects of autotoxicity on seed germination, gas exchange attributes and chlorophyll fluorescence in melon seedlings. Journal of Plant Growth Regulation, 41(3): 993-1003.
[65]   Zhou L J, Lai Y Z, Shao Z Y, et al. 2023. Keystone bacteria in a thiosulfate-driven autotrophic denitrification microbial community. Chemical Engineering Journal, 470: 144321, doi: 10.1016/j.cej.2023.144321.
[66]   Zhu S S, Lei Y H, Wang C, et al. 2021. Patterns of yeast diversity distribution and its drivers in rhizosphere soil of Hami melon orchards in different regions of Xinjiang. BMC Microbiology, 21(1): 170, doi: 10.1186/s12866-021-02222-1.
pmid: 34090353
[1] WANG Jincheng, JING Mingbo, GUO Xiaopeng, CHANG Sijing, DUAN Chunyan, SONG Xi, QIAN Li, QIN Xuexue, SHI Shengli. Structural and functional responses of soil microbial communities to petroleum pollution in the eastern Gansu Province on the Loess Plateau, China[J]. Journal of Arid Land, 2025, 17(9): 1314-1340.
[2] MA Xuexi, JING Wei, LIANG Yuanye, ZHANG Wenbo, LIU Haoyu, YAN Meng, MAO Jiefei, FAN Lianlian, LI Yaoming, CHEN Xi, Georgy A LAZKOV, GAO Yingzhi. Shrub leaf stoichiometry and its driving factors in the grasslands of the Altay Mountains, Northwest China[J]. Journal of Arid Land, 2025, 17(10): 1443-1457.
[3] YE He, HONG Mei, XU Xuehui, LIANG Zhiwei, JIANG Na, TU Nare, WU Zhendan. Responses of plant diversity and soil microorganism diversity to nitrogen addition in the desert steppe, China[J]. Journal of Arid Land, 2024, 16(3): 447-459.
[4] ZHANG Jian, GUO Xiaoqun, SHAN Yujie, LU Xin, CAO Jianjun. Effects of land-use patterns on soil microbial diversity and composition in the Loess Plateau, China[J]. Journal of Arid Land, 2024, 16(3): 415-430.
[5] KOU Zhaoyang, LI Chunyue, CHANG Shun, MIAO Yu, ZHANG Wenting, LI Qianxue, DANG Tinghui, WANG Yi. Effects of nitrogen and phosphorus additions on soil microbial community structure and ecological processes in the farmland of Chinese Loess Plateau[J]. Journal of Arid Land, 2023, 15(8): 960-974.
[6] GOU Qianqian, MA Gailing, QU Jianjun, WANG Guohua. Diversity of soil bacteria and fungi communities in artificial forests of the sandy-hilly region of Northwest China[J]. Journal of Arid Land, 2023, 15(1): 109-126.
[7] WANG Jincheng, JING Mingbo, ZHANG Wei, ZHANG Gaosen, ZHANG Binglin, LIU Guangxiu, CHEN Tuo, ZHAO Zhiguang. Assessment of organic compost and biochar in promoting phytoremediation of crude-oil contaminated soil using Calendula officinalis in the Loess Plateau, China[J]. Journal of Arid Land, 2021, 13(6): 612-628.
[8] ZHANG Hong, CAO Yingfei, LYU Jialong. Decomposition of different crop straws and variation in straw-associated microbial communities in a peach orchard, China[J]. Journal of Arid Land, 2021, 13(2): 152-164.
[9] Hui ZHANG, Wenjun LIU, Xiaoming KANG, Xiaoyong CUI, Yanfen WANG, Haitao ZHAO, Xiaoqing QIAN, Yanbin HAO. Changes in soil microbial community response to precipitation events in a semi-arid steppe of the Xilin River Basin, China[J]. Journal of Arid Land, 2019, 11(1): 97-110.
[10] Lin WU, Yuanming ZHANG. Precipitation and soil particle size co-determine spatial distribution of biological soil crusts in the Gurbantunggut Desert, China[J]. Journal of Arid Land, 2018, 10(5): 701-711.