Please wait a minute...
Journal of Arid Land  2026, Vol. 18 Issue (4): 676-695    DOI: 10.1016/j.jaridl.2026.04.007     CSTR: 32276.14.JAL.20250453
Research article     
Identification of dominant plant water-use strategies in arid zones under deuterium depletion conditions
DAI Ningze1,2,3, SHI Fengzhi1,2,3,*(), WANG Yuehui4, YAO Peng1,2,3, ZHU Jianting5, ZHAO Chengyi6
1 State Key Laboratory of Desert and Oasis Ecology, Key Laboratory of Ecological Safety and Sustainable Development in Arid Lands, Xinjiang Institute of Ecology and Geography, Chinese Academy of Sciences, Urumqi 830011, China
2 Aksu National Station of Observation and Research for Oasis Agro-ecosystem, Aksu 843017, China
3 University of Chinese Academy of Sciences, Beijing 100049, China
4 Key Laboratory of Surficial Geochemistry, Ministry of Education, Department of Hydrosciences, School of Earth Sciences and Engineering, Nanjing University, Nanjing 210023, China
5 Department of Civil and Architectural Engineering, University of Wyoming, Laramie, WY 82071, USA
6 School of Geographical Sciences, Nanjing University of Information Science & Technology, Nanjing 210044, China
Download: HTML     PDF(4104KB)
Export: BibTeX | EndNote (RIS)      

Abstract  

Identifying plant water sources is fundamental for elucidating ecohydrological processes and improving water resource management in arid zones under climate change. Stable hydrogen and oxygen isotopes are commonly used to trace plant water uptake; however, cryogenic vacuum extraction (CVE), the standard method for extracting plant xylem water, may induce deuterium depletion, thereby biasing source attribution. To systematically assess the effects of CVE-induced deuterium depletion across species, size classes, and habitats, we excavated five representative soil profiles along the mainstream of the Tarim River in northwestern China, in mid-July 2022. A total of 29 individuals, comprising both Populus euphratica and Tamarix ramosissima, were sampled. We divided P. euphratica individuals into four groups based on diameter at breast height (<50, 50-100, 100-250, and >250 cm), while categorized T. ramosissima individuals into four groups according to plant height (<1.0, 1.0-2.0, 2.0-4.0, and >4.0 m). Plant xylem water was extracted using CVE, and five deuterium depletion scenarios (-5.00‰, -7.00‰, -9.00‰, -11.00‰, and -13.00‰) were simulated. The Bayesian Mixing Model for Stable Isotope Analysis in R (MixSIAR) was applied under six input modes to quantify the proportional contributions of potential water sources and associated prediction errors. Model evaluation revealed that P. euphratica achieved the highest accuracy with a -9.00‰ correction of depletion, whereas a -11.00‰ correction was optimal for T. ramosissima, reducing relative prediction errors by 68.65% and 67.73%, respectively, compared with uncorrected scenario. Small-sized P. euphratica individuals exhibited less deuterium depletion, whereas no clear size-dependent pattern was observed for T. ramosissima. Spatially, plant individuals located farther from the river exhibited reduced deuterium depletion in xylem water. Despite differences in species traits and habitat conditions, both species predominantly relied on deep soil water and groundwater, which together contributed, on average, 61.45% and 59.95% for P. euphratica and T. ramosissima, respectively. These findings highlight the necessity of accounting for CVE-induced deuterium depletion when identifying plant water-use strategies and provide methodological guidance for isotope-based ecohydrological studies in arid environments.



Key wordsplant water uptake      hydrogen isotopes      oxygen isotopes      cryogenic vacuum extraction (CVE)      deuterium depletion      Bayesian Mixing Model for Stable Isotope Analysis in R (MixSIAR)      Tarim River Basin     
Received: 14 September 2025      Published: 30 April 2026
Corresponding Authors: *SHI Fengzhi (E-mail: shifz@ms.xjb.ac.cn)
Cite this article:

DAI Ningze, SHI Fengzhi, WANG Yuehui, YAO Peng, ZHU Jianting, ZHAO Chengyi. Identification of dominant plant water-use strategies in arid zones under deuterium depletion conditions. Journal of Arid Land, 2026, 18(4): 676-695.

URL:

http://jal.xjegi.com/10.1016/j.jaridl.2026.04.007     OR     http://jal.xjegi.com/Y2026/V18/I4/676

Fig. 1 Overview of the study area based on the digital elevation model (DEM; a), and field photographs showing the soil profiles at Alaer (b), Ermuchang (c), Yingbazha (d), Aqike (e), and Yingsu (f)
Plant type Group Profile DBH (cm) Height (m)
Populus euphratica P1 Ermuchang 25 /
Yingbazha 15 /
Yingsu 15 /
P2 Alaer 80 /
Yingbazha 50 /
Aqike 50 /
Aqike 60 /
Yingsu 70 /
Alaer 100 /
P3 Alaer 150 /
Ermuchang 235 /
Yingbazha 120 /
Aqike 100 /
Yingsu 175 /
P4 Alaer 370 /
Tamarix ramosissima T1 Aqike / 0.8
Alaer / 1.0
Ermuchang / 1.0
T2 Yingbazha / 1.8
Aqike / 1.5
Yingsu / 1.5
Yingsu / 1.2
T3 Alaer / 2.0
Ermuchang / 2.5
Ermuchang / 3.0
Yingbazha / 2.5
Yingsu / 2.5
Yingsu / 2.5
T4 Yingsu / 4.0
Table 1 Plant sampling information
Fig. 2 Soil water content distribution across five soil profiles. (a), Alaer; (b), Ermuchang; (c), Yingbazha; (d), Aqike; (e), Yingsu.
Fig. 3 Soil texture distribution across five profiles. (a), Alaer; (b), Ermuchang; (c), Yingbazha; (d), Aqike; (e), Yingsu.
Fig. 4 Relationship between oxygen isotope ratio (δ18O) and deuterium isotope ratio (δD) of different water sources. The local meteoric water line (LMWL) (Song et al., 2022) and global meteoric water line (GMWL) are shown for reference.
Fig. 5 δ18O and δD values of soil water and plant xylem water at different profiles. Panels (a), (b), (c), (d), and (e) correspond to the Alaer, Ermuchang, Yingbazha, Aqike, and Yingsu profiles, respectively. Panels a1-e1 show δ18O, while panels a2-e2 display δD. P1-P4 represent four groups of P. euphratica individuals based on diameter at breast height (DBH): <50, 50-10, 100-250, and >250 cm, respectively. T1-T4 represent four groups of T. ramosissima individuals based on plant height: <1.0, 1.0-2.0, 2.0-4.0, and >4.0 m, respectively. The asterisk symbol ''*'' denotes different individual plants within the same group. Error bars represent standard deviations.
Fig. 6 Bayesian Mixing Model for Stable Isotope Analysis in R (MixSIAR) predictions of plant water sources at the Alaer (a), Ermuchang (b), Yingbazha (c), Aqike (d), and Yingsu (e) profiles under different correction scenarios. F0, original δD and δ18O values; F5, δD and δ18O values were adjusted for -5.00‰ deuterium depletion; F7, δD and δ18O values were adjusted for -7.00‰ deuterium depletion; F9, δD and δ18O values were adjusted for -9.00‰ deuterium depletion; F11, δD and δ18O values were adjusted for -11.00‰ deuterium depletion; F13, δD and δ18O values were adjusted for -13.00‰ deuterium depletion. Error bars represent standard deviations.
Plant type Statistical indicator F0 F5 F7 F9 F11 F13
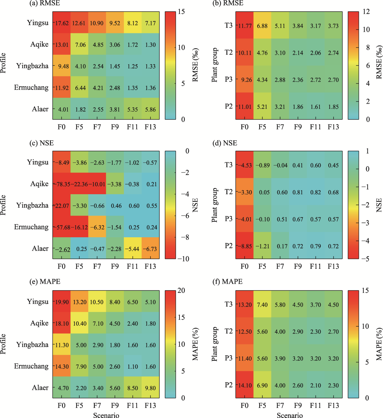
Populus euphratica RMSE (‰) 10.34 5.42 3.84 3.05 3.17 3.02
NSE -3.65 -0.28 0.36 0.60 0.56 0.51
MAPE (%) 12.25 6.69 4.75 3.84 3.73 3.52
Tamarix ramosissima RMSE (‰) 14.30 9.71 8.26 7.19 6.29 5.91
NSE -4.09 -1.35 -0.70 -0.29 0.02 -0.63
MAPE (%) 15.43 9.19 7.37 5.98 4.98 5.10
Table 2 RMSE, NSE, and MAPE of δD from the MixSIAR predictions under different correction scenarios
Fig. 7 Heatmaps of three statistical metrics—RMSE (root mean square error), NSE (Nash-Sutcliffe efficiency), and MAPE (mean absolute percentage error)—evaluated under different δD correction scenarios across soil profiles and plant groups. (a), RMSE differentiated by soil profile; (b), RMSE differentiated by plant group; (c), NSE differentiated by soil profile; (d), NSE differentiated by plant group; (e), MAPE differentiated by soil profile; (f), MAPE differentiated by plant group.
[1]   Barbeta A, Jones S P, Clave L, et al. 2019. Unexplained hydrogen isotope offsets complicate the identification and quantification of tree water sources in a riparian forest. Hydrology and Earth System Sciences, 23(4): 2129-2146.
doi: 10.5194/hess-23-2129-2019
[2]   Cai G C, Tötzke C, Kaestner A, et al. 2022. Quantification of root water uptake and redistribution using neutron imaging: a review and future directions. The Plant Journal, 111(2): 348-359.
doi: 10.1111/tpj.15839 pmid: 35603461
[3]   Cai Y H, Luo L J, Gao X D, et al. 2024. Effect of hydrogen isotopic offset and input data on the isotope-based estimation of plant water sources. Journal of Hydrology, 637: 131422, doi: 10.1016/j.jhydrol.2024.131422.
[4]   Canadell J, Jackson R B, Ehleringer J R, et al. 1996. Maximum rooting depth of vegetation types at the global scale. Oecologia, 108: 583-595.
doi: 10.1007/BF00329030 pmid: 28307789
[5]   Chen Y L, Helliker B R, Tang X H, et al. 2020. Stem water cryogenic extraction biases estimation in deuterium isotope composition of plant source water. Proceedings of the National Academy of Sciences of the United States of America, 117(52): 33345-33350.
[6]   Chen Y N, Li B F, Fan Y T, et al. 2019. Hydrological and water cycle processes of inland river basins in the arid region of Northwest China. Journal of Arid Land, 11(2): 161-179.
doi: 10.1007/s40333-019-0050-5
[7]   Chen Y P, Chen Y N, Xu C C, et al. 2016. The effects of groundwater depth on water uptake of Populus euphratica and Tamarix ramosissima in the hyperarid region of northwestern China. Environmental Science and Pollution Research, 23: 17404-17412.
doi: 10.1007/s11356-016-6914-8
[8]   Craig H. 1961. Isotopic variations in meteoric waters. Science, 133(3465): 1702-1703.
pmid: 17814749
[9]   Cui Y Q, Niu L Q, Xiang J L, et al. 2021. Water uptake from different soil depths for desert plants in saline lands of Dunhuang, NW China. Frontiers in Environmental Science, 8: 585464, doi: 10.3389/fenvs.2020.585464.
[10]   Dai Y, Zhang T T, Abderyim A, et al. 2025. Influence of fluctuation of groundwater depth on the water use characteristics of Tamarix ramosissima at the tail of the Keriya River. Journal of Hydrology: Regional Studies, 59: 102445, doi: 10.1016/j.ejrh.2025.102445.
[11]   Dean J F. 2019. Groundwater dependent ecosystems in arid zones can use ancient subterranean carbon as an energy source in the local food web. Journal of Geophysical Research: Biogeosciences, 124(4): 733-736.
doi: 10.1029/2019JG005089
[12]   Deng W P, Zhang J, Zhang Z J, et al. 2017. Stable hydrogen and oxygen isotope compositions in soil-plant-atmosphere continuum (SPAC) in rocky mountain area of Beijing, China. Chinese Journal of Applied Ecology, 28(7): 2171-2178. (in Chinese)
[13]   Eamus D, Froend R, Loomes R, et al. 2006. A functional methodology for determining the groundwater regime needed to maintain the health of groundwater-dependent vegetation. Australian Journal of Botany, 54(2): 97-114.
doi: 10.1071/BT05031
[14]   Ehleringer J R, Phillips S L, Schuster W S F, et al. 1991. Differential utilization of summer rains by desert plants. Oecologia, 88: 430-434.
doi: 10.1007/BF00317589 pmid: 28313807
[15]   Ehleringer J R, Dawson T E. 1992. Water uptake by plants: perspectives from stable isotope composition. Plant, Cell & Environment, 15(9): 1073-1082.
doi: 10.1111/pce.1992.15.issue-9
[16]   Fan Y, Miguez-Macho G, Jobbagy E G, et al. 2017. Hydrologic regulation of plant rooting depth. Proceedings of the National Academy of Sciences of the United States of America, 114(40): 10572-10577.
[17]   Fu A H, Chen Y N, Li W H. 2014. Water use strategies of the desert riparian forest plant community in the lower reaches of Heihe River Basin, China. Science China Earth Sciences, 57(6): 1293-1305.
doi: 10.1007/s11430-013-4680-8
[18]   Gai H Q, Shi P J, Li Z. 2023. Untangling the uncertainties in plant water source partitioning with isotopes. Water Resources Research, 59(12): e2022WR033849, doi: 10.1029/2022WR033849.
[19]   Gao X D, Wan H, Zeng Y J, et al. 2023. Disentangling the impact of event- and annual-scale precipitation extremes on critical-zone hydrology in semiarid loess vegetated by apple trees. Water Resources Research, 59(3): e2022WR033042, doi: 10.1029/2022WR033042.
[20]   Gardner W R. 1964. Relation of root distribution to water uptake and availability. Agronomy Journal, 56: 41-45.
doi: 10.2134/agronj1964.00021962005600010013x
[21]   Glanville K, Sheldon F, Butler D, et al. 2023. Effects and significance of groundwater for vegetation: a systematic review. Science of The Total Environment, 875: 162577, doi: 10.1016/j.scitotenv.2023.162577.
[22]   Guo S T, Yao Y Y, Ji Q, et al. 2025. Groundwater depletion intensified by irrigation and afforestation in the Yellow River Basin: a spatiotemporal analysis using GRACE and well monitoring data with implications for sustainable management. Journal of Hydrology: Regional Studies, 59: 102324, doi: 10.1016/j.ejrh.2025.102324.
[23]   Herczeg A L, Leaney F W. 2011. Review: environmental tracers in arid-zone hydrology. Hydrogeology Journal, 19: 17-29.
doi: 10.1007/s10040-010-0652-7
[24]   Holland K L, Tyerman S D, Mensforth L J, et al. 2006. Tree water sources over shallow, saline groundwater in the lower River Murray, south-eastern Australia: implications for groundwater recharge mechanisms. Australian Journal of Botany, 54(2): 193-205.
doi: 10.1071/BT05019
[25]   Horton J L, Kolb T E, Hart S C. 2001a. Physiological response to groundwater depth varies among species and with river flow regulation. Ecological Applications, 11(4): 1046-1059.
doi: 10.1890/1051-0761(2001)011[1046:PRTGDV]2.0.CO;2
[26]   Horton J L, Kolb T E, Hart S C. 2001b. Responses of riparian trees to interannual variation in ground water depth in a semi-arid river basin. Plant, Cell & Environment, 24(3): 293-304.
doi: 10.1046/j.1365-3040.2001.00681.x
[27]   Jackson A L, Inger R, Bearhop S, et al. 2009. Erroneous behaviour of MixSIR, a recently published Bayesian isotope mixing model: a discussion of Moore & Semmens (2008). Ecology Letters, 12(3): E1-E5.
[28]   Jiang X Q, Hao S, Ye M, et al. 2025. Water uptake sources of differently aged Populus euphratica in the lower Tarim River under ecological water conveyance. Scientific Reports, 15(1): 40271, doi: 10.1038/s41598-025-24001-y.
[29]   Keram A, Halik U, Aishan T, et al. 2021. Tree mortality and regeneration of Euphrates poplar riparian forests along the Tarim River, Northwest China. Forest Ecosystems, 8: 49, doi: 10.1186/s40663-021-00323-x.
[30]   Layman C A, Araujo M S, Boucek R, et al. 2012. Applying stable isotopes to examine food-web structure: an overview of analytical tools. Biological Reviews, 87(3): 545-562.
doi: 10.1111/brv.2012.87.issue-3
[31]   Li E G, Tong Y Q, Huang Y M, et al. 2019. Responses of two desert riparian species to fluctuating groundwater depths in hyperarid areas of Northwest China. Ecohydrology, 12(3): e2078, doi: 10.1002/eco.2078.
[32]   Li J, Hu S J, Sheng Y, et al. 2022. Whole-plant water use and hydraulics of Populus euphratica and Tamarix ramosissima seedlings in adaption to groundwater variation. Water, 14(12): 1869, doi: 10.3390/w14121869.
[33]   Li M Y, Li F L, Fu S D, et al. 2024. Identification, mapping, and eco-hydrological signal analysis for groundwater-dependent ecosystems (GDEs) in Langxi River basin, north China. Hydrology and Earth System Sciences, 28(20): 4623-4642.
doi: 10.5194/hess-28-4623-2024
[34]   Li Y F, Yu J J, Lu K, et al. 2017. Water sources of Populus euphratica and Tamarix ramosissima in Ejina Delta, the lower reaches of the Heihe River, China. Chinese Journal of Plant Ecology, 41(5): 519-528. (in Chinese)
doi: 10.17521/cjpe.2016.0381
[35]   Liu S B, Chen Y N, Chen Y P, et al. 2015. Use of 2H and 18O stable isotopes to investigate water sources for different ages of Populus euphratica along the lower Heihe River. Ecological Research, 30: 581-587.
doi: 10.1007/s11284-015-1270-6
[36]   Loheide II S P, Butler Jr J J, Gorelick S M. 2005. Estimation of groundwater consumption by phreatophytes using diurnal water table fluctuations: a saturated-unsaturated flow assessment. Water Resources Research, 41(7): W07030, doi: 10.1029/2005WR003942.
[37]   Maihemuti B, Simayi Z, Alifujiang Y, et al. 2021. Development and evaluation of the soil water balance model in an inland arid delta oasis: implications for sustainable groundwater resource management. Global Ecology and Conservation, 25: e01408, doi: 10.1016/j.gecco.2020.e01408.
[38]   Moore J W, Semmens B X. 2008. Incorporating uncertainty and prior information into stable isotope mixing models. Ecology Letters, 11(5): 470-480.
doi: 10.1111/j.1461-0248.2008.01163.x pmid: 18294213
[39]   Naumburg E, Mata-Gonzalez R, Hunter R G, et al. 2005. Phreatophytic vegetation and groundwater fluctuations: a review of current research and application of ecosystem response modeling with an emphasis on Great Basin vegetation. Environmental Management, 35: 726-740.
pmid: 15940400
[40]   Orellana F, Verma P, Loheide II S P, et al. 2012. Monitoring and modeling water-vegetation interactions in groundwater-dependent ecosystems. Reviews of Geophysics, 50(3): RG3003, doi: 10.1029/2011RG000383.
[41]   Orlowski N, Pratt D L, McDonnell J J. 2016. Intercomparison of soil pore water extraction methods for stable isotope analysis. Hydrological Processes, 30(19): 3434-3449.
doi: 10.1002/hyp.v30.19
[42]   Phillips D L, Gregg J W. 2003. Source partitioning using stable isotopes: coping with too many sources. Oecologia, 136: 261-269.
doi: 10.1007/s00442-003-1218-3 pmid: 12759813
[43]   Phillips D L, Inger R, Bearhop S, et al. 2014. Best practices for use of stable isotope mixing models in food-web studies. Canadian Journal of Zoology, 92(10): 823-835.
doi: 10.1139/cjz-2014-0127
[44]   Rohde M M, Albano C M, Huggins X, et al. 2024. Groundwater-dependent ecosystem map exposes global dryland protection needs. Nature, 632: 101-107.
doi: 10.1038/s41586-024-07702-8
[45]   Sloan B P, Thompson S E, Feng X. 2021. Plant hydraulic transport controls transpiration sensitivity to soil water stress. Hydrology and Earth System Sciences, 25(8): 4259-4274.
doi: 10.5194/hess-25-4259-2021
[46]   Song Y, Wang S J, Zhang M J, et al. 2022. Stable isotopes of precipitation in the eastern Tarim River Basin and water vapor sources. Environmental Science, 43(1): 199-209. (in Chinese)
[47]   Soylu M E, Loheide S P, Kucharik C J. 2017. Effects of root distribution and root water compensation on simulated water use in maize influenced by shallow groundwater. Vadose Zone Journal, 16(10): 1-15.
[48]   Sprenger M, Stumpp C, Weiler M, et al. 2019. The demographics of water: a review of water ages in the critical zone. Reviews of Geophysics, 57(3): 800-834.
doi: 10.1029/2018RG000633
[49]   Stock B C, Jackson A L, Ward E J, et al. 2018. Analyzing mixing systems using a new generation of Bayesian tracer mixing models. PeerJ, 6: e5096, doi: 10.7717/peerj.5096.
[50]   Stromberg J C. 2013. Root patterns and hydrogeomorphic niches of riparian plants in the American Southwest. Journal of Arid Environments, 94: 1-9.
doi: 10.1016/j.jaridenv.2013.02.004
[51]   Su Y H, Feng Q, Zhu G F, et al. 2022. Evaluating the different methods for estimating groundwater evapotranspiration using diurnal water table fluctuations. Journal of Hydrology, 607: 127508, doi: 10.1016/j.jhydrol.2022.127508.
[52]   Tao S Y, Xia J, Xia J Q, et al. 2025. Stable water isotopes in soil-plant systems reveal ecohydrological dynamics in a typical flood wetland in the subtropical monsoon region, China. Ecological Indicators, 178: 114021, doi: 10.1016/j.ecolind.2025.114021.
[53]   von Freyberg J, Allen S T, Grossiord C, et al. 2020. Plant and root-zone water isotopes are difficult to measure, explain, and predict: some practical recommendations for determining plant water sources. Methods in Ecology and Evolution, 11(11): 1352-1367.
doi: 10.1111/2041-210X.13461
[54]   Wan Y B, Shi Q D, Dai Y, et al. 2022. Water use characteristics of Populus euphratica Oliv. and Tamarix chinensis Lour. at different growth stages in a desert oasis. Forests, 13(2): 236, doi: 10.3390/f13020236.
[55]   Wang J, Lu N, Fu B J. 2019. Inter-comparison of stable isotope mixing models for determining plant water source partitioning. Science of The Total Environment, 666: 685-693.
doi: 10.1016/j.scitotenv.2019.02.262
[56]   Wang T Y, Wu Z N, Wang P, et al. 2023. Plant-groundwater interactions in drylands: a review of current research and future perspectives. Agricultural and Forest Meteorology, 341: 109636, doi: 10.1016/j.agrformet.2023.109636.
[57]   Wen M Y, Lu Y W, Li M L, et al. 2021. Correction of cryogenic vacuum extraction biases and potential effects on soil water isotopes application. Journal of Hydrology, 603(Part B): 127011, doi: 10.1016/j.jhydrol.2021.127011.
[58]   Wen M Y, He D, Li M, et al. 2022. Causes and factors of cryogenic extraction biases on isotopes of xylem water. Water Resources Research, 58(8): e2022WR032182, doi: 10.1029/2022WR032182.
[59]   Wen M Y, Zhao X N, Si B C, et al. 2023. Inter-comparison of extraction methods for plant water isotope analysis and its indicative significance. Journal of Hydrology, 625(Part B): 130015, doi: 10.1016/j.jhydrol.2023.130015.
[60]   Xu Y Q, Zhao H, Zhou B Q, et al. 2024. Variations in water use strategies of Tamarix ramosissima at coppice dunes along a precipitation gradient in desert regions of northwest China. Frontiers in Plant Science, 15: 1408943, doi: 10.3389/fpls.2024.1408943.
[61]   Yang B, Wen X F, Sun X M. 2015. Seasonal variations in depth of water uptake for a subtropical coniferous plantation subjected to drought in an East Asian monsoon region. Agricultural and Forest Meteorology, 201: 218-228.
doi: 10.1016/j.agrformet.2014.11.020
[62]   Yang G, Li F D, Chen D, et al. 2019. Assessment of changes in oasis scale and water management in the arid Manas River Basin, north western China. Science of The Total Environment, 691: 506-515.
doi: 10.1016/j.scitotenv.2019.07.143
[63]   Yang H H, Lv Q L, Yang W, et al. 2020. Study on self recovery of Populus euphratica using capillary action of column soil exchange to enhance groundwater. Water Saving Irrigation, (12): 51-56. (in Chinese)
[64]   Yang H L, Hu Q L, Zhao Y, et al. 2025. Beyond deuterium: δ18O offsets from cryogenic vacuum extraction bias water source apportionment in Tamarix chinensis. Hydrological Processes, 40(1): e70368, doi: 10.1002/hyp.70368.
[65]   Zeng Y, Zhao C Y, Li J, et al. 2019. Effect of groundwater depth on riparian plant diversity along riverside-desert gradients in the Tarim River. Journal of Plant Ecology, 12(3): 564-573.
doi: 10.1093/jpe/rty048
[66]   Zhao L J, Wang L X, Cernusak L A, et al. 2016. Significant difference in hydrogen isotope composition between xylem and tissue water in Populus euphratica. Plant, Cell & Environment, 39(8): 1848-1857.
[67]   Zhao L J, Liu X H, Wang N L, et al. 2024. The determining factors of hydrogen isotope offsets between plants and their source waters. New Phytologist, 241(5): 2009-2024.
doi: 10.1111/nph.19492 pmid: 38178796
[68]   Zhou H H, Ye Z X, Yang Y H, et al. 2024. Drought stress might induce sexual spatial segregation in dioecious Populus euphratica—insights from long-term water use efficiency and growth rates. Biology, 13(5): 318, doi: 10.3390/biology13050318.
[69]   Zhou Y Q, Gao X D, Wang J X, et al. 2021. Lycium barbarum root water uptake characteristics in the Qaidam Basin irrigation. Chinese Journal of Eco-Agriculture, 29(2): 400-409. (in Chinese)
[70]   Zhu G F, Yong L L, Zhao X, et al. 2022. Evaporation, infiltration and storage of soil water in different vegetation zones in the Qilian Mountains: a stable isotope perspective. Hydrology and Earth System Sciences, 26(14): 3771-3784.
doi: 10.5194/hess-26-3771-2022
[71]   Zou J W, Li H, Ding C, et al. 2024. Mapping natural Populus euphratica forests in the mainstream of the Tarim River using spaceborne imagery and Google Earth Engine. Remote Sensing, 16(18): 3429, doi: 10.3390/rs16183429.
[1] WANG Xiaochen, LI Zhi, CHEN Yaning, ZHU Jianyu, WANG Chuan, WANG Jiayou, ZHANG Xueqi, FENG Meiqing, LIANG Qixiang. Impact of extreme weather and climate events on crop yields in the Tarim River Basin, China[J]. Journal of Arid Land, 2025, 17(2): 200-223.
[2] HE Bing, CHANG Jianxia, GUO Aijun, WANG Yimin, WANG Yan, LI Zhehao. Assessment of river basin habitat quality and its relationship with disturbance factors: A case study of the Tarim River Basin in Northwest China[J]. Journal of Arid Land, 2022, 14(2): 167-185.
[3] CHEN Limei, Abudureheman HALIKE, YAO Kaixuan, WEI Qianqian. Spatiotemporal variation in vegetation net primary productivity and its relationship with meteorological factors in the Tarim River Basin of China from 2001 to 2020 based on the Google Earth Engine[J]. Journal of Arid Land, 2022, 14(12): 1377-1394.
[4] BAI Jie, LI Junli, BAO Anmin, CHANG Cun. Spatial-temporal variations of ecological vulnerability in the Tarim River Basin, Northwest China[J]. Journal of Arid Land, 2021, 13(8): 814-834.
[5] Guobao XU, Xiaohong LIU, Weizhen SUN, Tuo CHEN, Xuanwen ZHANG, Xiaomin ZENG, Guoju WU, Wenzhi WANG, Dahe QIN. Application and verification of simultaneous determination of cellulose δ13C and δ18O in Picea shrenkiana tree rings from northwestern China using the high-temperature pyrolysis method[J]. Journal of Arid Land, 2018, 10(6): 864-876.
[6] Yang YU, Xi CHEN, HUTTNER Philipp, HINNENTHAL Marie, BRIEDEN Andreas, Lingxiao SUN, DISSE Markus. Model based decision support system for land use changes and socio-economic assessments[J]. Journal of Arid Land, 2018, 10(2): 169-182.
[7] Yue HUANG, Xi CHEN, YongPing LI, AnMing BAO, YongGang MA. A simulation-based two-stage interval-stochastic programming model for water resources management in Kaidu-Konqi watershed, China[J]. Journal of Arid Land, 2012, 4(4): 390-398.
[8] YuTing FAN, YaNing CHEN, WeiHong LI, HuaiJun WANG, XinGong LI. Impacts of temperature and precipitation on runoff in the Tarim River during the past 50 years[J]. Journal of Arid Land, 2011, 3(3): 220-230.
[9] ChangLong SUN, XiaoLei ZHANG, Nuo JIN, HongRu DU, WenWen MA. Spatial difference features and organization optimization of cities and towns in Tarim River Basin[J]. Journal of Arid Land, 2010, 2(1): 33-42.