Please wait a minute...
Journal of Arid Land  2025, Vol. 17 Issue (12): 1719-1740    DOI: 10.1007/s40333-025-0060-4     CSTR: 32276.14.JAL.02500604
Research article     
Characteristics of summer turbulence and analysis of ozone sounding in the hinterland of the Taklimakan Desert, Northwest China
WANG Minzhong1, MING Hu2,*(), WANG Yinjun3, ALI Mamtimin1, ZHANG Jiantao1, ZHU Congzhen1
1Urumqi Institute of Desert Meteorology, China Meteorological Administration/National Observation and Research Station of Desert Meteorology, Taklimakan Desert of Xinjiang/Taklimakan Desert Meteorology Field Experiment Station of China Meteorological Administration/Xinjiang Key Laboratory of Desert Meteorology and Sandstorm, Urumqi 830002, China
2School of Electrical & Electronic Engineering, Shandong University of Technology, Zibo 255000, China
3State Key Laboratory of Severe Weather, Chinese Academy of Meteorological Sciences, Beijing 100081, China
Download: HTML     PDF(1855KB)
Export: BibTeX | EndNote (RIS)      

Abstract  

Due to the arid and sandy surface of the Taklimakan Desert (TD) in China, the turbulence structure and vertical distribution of ozone exhibit unique and complex characteristics. However, few studies have focused on these issues. To reveal the variation characteristics of summertime atmospheric turbulence and ozone concentration over the TD, we conducted joint detection experiments in July 2016 and July 2021 at Tazhong in the hinterland of the TD using an eddy covariance detection system, a GPS (Global Positioning System) sounding system, and a meteorological gradient tower. Using methods such as statistical analysis, nonlinear fitting, and Fast Fourier Transform, this study analyzed and processed parameters including temperature, relative humidity, wind speed, turbulence parameters, turbulence spectra, and ozone concentration. The high average temperature is accompanied by low relative humidity over the TD, showing a negative correlation between the two. The temperature of the 10.0-cm-deep sand layer lags the near-surface air temperature by nearly 4 h. From 09:30 to 21:00 (Beijing Time), under conditions where the sensible heat flux is positive but stability parameter (z/L, where z is the height and L is the Obukhov length) is negative, the atmosphere is heated by the land surface, with the occurrence of unstable stratification; however, the conditions are the opposite (sensible heat flux is negative and z/L is positive) after 22:00, which are accompanied with the cooling of the surface radiation, occurrence of temperature inversion in the lower atmosphere, and stable stratification. A positive correlation is identified between the diurnal variation of turbulent kinetic energy (TKE) and the atmospheric boundary layer (ABL) height, with significant contributions from both the buoyancy and shear terms during the daytime. Under unstable stratification, the normalized standard deviations of the three-dimensional wind speed, temperature, and humidity conform to the Monin-Obukhov Similarity Theory (MOST). As the stability parameter z/L transitions from strongly unstable to strongly stable, the energy of the dimensionless turbulent velocity spectra gradually decreases and conforms to the -2/3 power law within the inertial subrange. In the hinterland of the TD, the summertime tropospheric ozone concentration remains below approximately 0.70×10-6 (volume concentration). Above the troposphere, within the range of 16,500.0-30,000.0 m, a significant increasing trend is identified in the ozone concentration with altitude. At an altitude of 30,000.0 m, the maximum ozone concentration can reach up to 7.50×10-6. The research findings provide both theoretical and data foundations for future in-depth studies of turbulent motion and ozone concentration distribution in the TD, as well as in the similar areas around the world.



Key wordsMonin-Obukhov Similarity Theory (MOST)      turbulence energy spectrum      turbulent kinetic energy (TKE)      atmospheric boundary layer height      ozone concentration profile      Taklimakan Desert     
Received: 11 May 2025      Published: 31 December 2025
Corresponding Authors: *MING Hu (E-mail: minghu0538@126.com)
Cite this article:

WANG Minzhong, MING Hu, WANG Yinjun, ALI Mamtimin, ZHANG Jiantao, ZHU Congzhen. Characteristics of summer turbulence and analysis of ozone sounding in the hinterland of the Taklimakan Desert, Northwest China. Journal of Arid Land, 2025, 17(12): 1719-1740.

URL:

http://jal.xjegi.com/10.1007/s40333-025-0060-4     OR     http://jal.xjegi.com/Y2025/V17/I12/1719

Fig. 1 Main observational equipment related to this study. (a), an eddy covariance detection system; (b), a meteorological gradient tower.
Parameter Range Precision Deviation
Air temperature (°C) -90.0-60.0 0.1 <0.2
Relative humidity (%) 0-100 1 <3
Air pressure (hPa) 3.0-1080.0 0.1 <1.0
Wind speed (m/s) 0.00-150.00 0.10 <0.15
Wind direction (°) 0.0-360.0 0.1 2.0
Ozone partial pressure
(hPa)
0.0-30.0×10-5 0.1×10-5 Troposphere: ±6%; Stratosphere: ±7% (air pressure>10.0 hPa) and ±10% (air pressure≤10.0 hPa)
Table 1 Main parameter indices of the GPS (Global Positioning System) sounding system
Detection time Detection frequency Detection time Detection frequency
02:00 24 14:00 31
05:00 10 17:00 10
08:00 29 20:00 31
11:00 7 23:00 10
Table 2 Specific times and detection frequencies of the GPS sounding experiments conducted in July 2021
Fig. 2 Distribution of potential temperature (θ) and specific humidity (q) profiles, and atmospheric boundary layer (ABL) heights at 08:00 (a1 and a2), 14:00 (b1 and b2), 20:00 (c1 and c2), and 23:00 (d1 and d2) on 11 July 2021. All times are given in Beijing Time (UTC+8).
Fig. 3 Statistical characteristics of temporal variations of air temperature (a) and relative humidity (RH; b) at heights of 0.5, 2.0, 4.0, and 10.0 m, as well as soil temperature (c) at sand layer depths of 0.0, 10.0, and 20.0 cm, and soil moisture content (d) at depths of 5.0, 10.0, and 20.0 cm in July 2021. The reddish-brown vertical line at 20:00 marks the dividing line between daytime and nighttime.
Fig. 4 Diurnal variations of soil heat flux at sand layer depths of 10.0 and 20.0 cm (a), sensible heat flux (b), latent heat flux (c), and Bowen ratio (d) in July 2021. The reddish-brown vertical line at 20:00 marks the dividing line between daytime and nighttime.
Fig. 5 Statistical characteristics of temporal variations of stability parameter (z/L, where z is the height and L is the Obukhov length; a) and friction velocity (u*; b) in July 2021. The reddish-brown vertical line at 20:00 marks the dividing line between daytime and nighttime.
Fig. 6 Diurnal variation characteristics of turbulent kinetic energy (TKE; a), buoyancy term (b), and shear term (c) in July 2021. The reddish-brown vertical line at 20:00 marks the dividing line between daytime and nighttime.
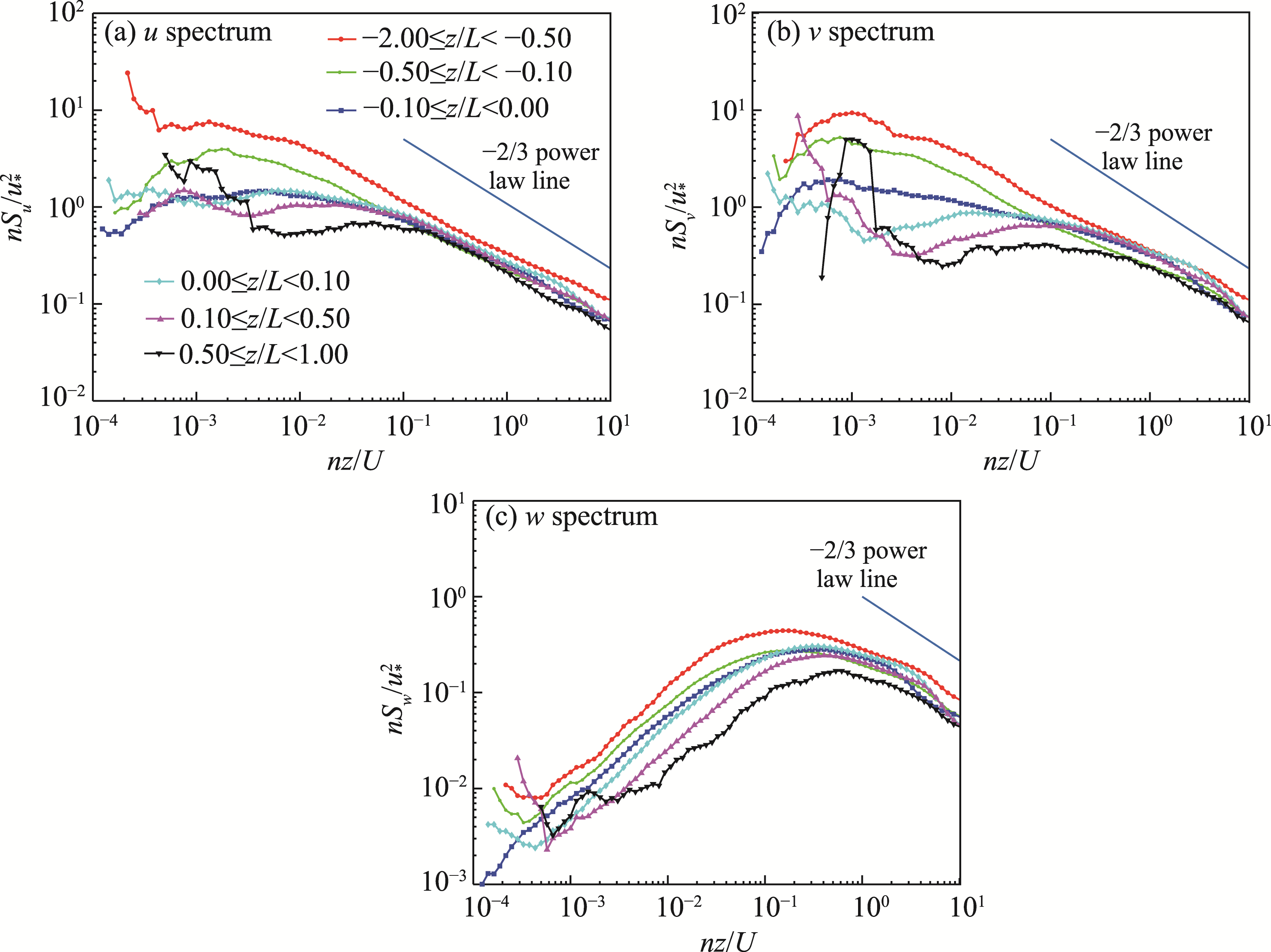
Fig. 7 Distribution characteristics of normalized wind speeds in the u-direction (σu/u*; a and b), v-direction (σv/u*; c and d), and w-direction (σw/u*; e and f) under unstable (-z/L) and stable (z/L) stratifications. σu, σv, and σw denote the standard deviations of three-dimensional wind speeds, respectively.
Fig. 8 Variation characteristics of normalized TKE ($\bar{e} / u_{*}^{2}$, where $\bar{e}$ is the TKE) under unstable (–z/L; a) and stable (z/L; b) stratifications
Fig. 9 Distribution characteristics of normalized temperature (σT/T, where σT is the standard deviation of temperature and T is the characteristic temperature) under unstable (-z/L; a) and stable (z/L; b) stratifications, as well as normalized humidity (σq/q, where σq is the standard deviation of specific humidity and q is the characteristic humidity) under unstable (-z/L; c) and stable (z/L; d) stratifications
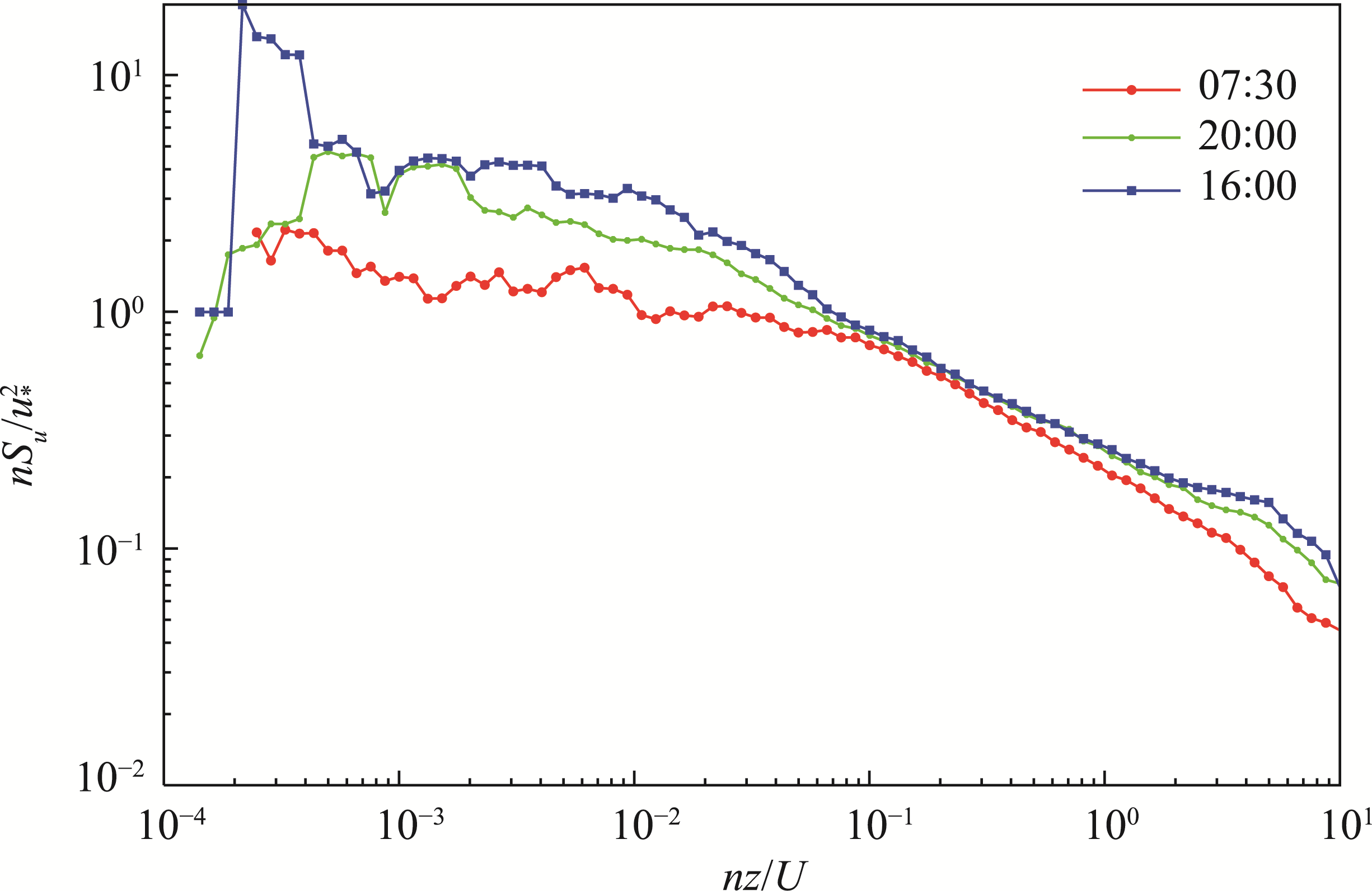
Fig. 10 Normalized spectrum (nSu/u2 *) distributions with dimensionless frequency (nz/U) for three distinct periods (07:30, 16:00, and 20:00) on 5 July 2021. n denotes frequency; Su denotes power spectral density for the wind speed component of u; nz/U denotes the dimensionless frequency; U denotes the mean wind speed.
Fig. 11 Variation characteristics of normalized spectrum (nSu/u2 *, nSv/u2 *, and nSw/u2 *) for wind speed components of u (a), v (b), and w (c) with dimensionless frequencies (nz/U) under different z/L conditions
Fig. 12 ABL heights at different times and the temporal variation of the average ABL height
Fig. 13 Distribution characteristics of the ABL height with TKE during the daytime (08:00-20:00)
Fig. 14 Vertical profiles of (a) air temperature, (b) ozone concentration, (c) ozone concentration difference between 01:35 and 16:15 on 6 July 2016 (height range of 0.0-15,000.0 m), and (d) ozone concentration difference between 01:35 and 16:15 on 6 July 2016 (height range of 15,000.0-30,000.0 m)
Fig. 15 ABL heights retrieved by GPS and TKE on sunny day (4 July 2021; a), precipitation day (14 July 2021; b), and blowing sand day (12 July 2021; c)
[1]   Acevedo O C, Moraes O L L, Degrazia G A, et al. 2006. Intermittency and the exchange of scalars in the nocturnal surface layer. Boundary-Layer Meteorology, 119(1): 41-55.
doi: 10.1007/s10546-005-9019-3
[2]   Bian J C, Gettelman A, Chen H B, et al. 2007. Validation of satellite ozone profile retrievals using Beijing ozonesonde data. Journal of Geophysical Research: Atmospheres, 112(D6): D06305, doi:10.1029/2006JD007502.
[3]   Cava D, Mortarini L, Giostra U, et al. 2019. Submeso motions and intermittent turbulence across a nocturnal low-level jet: A self-organized criticality analogy. Boundary-Layer Meteorology, 172: 17-43.
doi: 10.1007/s10546-019-00441-8
[4]   Chang W Y, Zhang Y, Li Z Q, et al. 2021. Improving the sectional Model for Simulating Aerosol Interactions and Chemistry (MOSAIC) aerosols of the Weather Research and Forecasting-Chemistry (WRF-Chem) model with the revised Gridpoint Statistical Interpolation system and multi-wavelength aerosol optical measurements: the dust aerosol observation campaign at Kashi, near the Taklimakan Desert, northwestern China. Atmospheric Chemistry and Physics, 21(6): 4403-4430.
[5]   Chen S Y, Huang J P, Zhao C, et al. 2013. Modeling the transport and radiative forcing of Taklimakan dust over the Tibetan Plateau: a case study in the summer of 2006. Journal of Geophysical Research: Atmospheres, 118(2): 797-812.
doi: 10.1002/jgrd.v118.2
[6]   Chen Y, An J L, Qu Y, et al. 2023. Dust radiation effect on the weather and dust transport over the Taklimakan Desert, China. Atmospheric Research, 284: 106600, doi:10.1016/j.atmosres.2022.106600.
[7]   Chen Y, An J L, Qu Y, et al. 2025. Dust- versus cloud-radiation impacts on the diurnal temperature range for long-lasting dust weather over the Taklimakan Desert. Atmospheric Environment, 342: 120946, doi:10.1016/j.atmosenv.2024.120946.
[8]   Choi T, Hong J, Kim J, et al. 2004. Turbulent exchange of heat, water vapor, and momentum over a Tibetan prairie by eddy covariance and flux variance measurements. Journal of Geophysical Research: Atmospheres, 109(D21): D21106, doi:10.1029/2004JD004767.
[9]   Coulter R L, Doran J C. 2002. Spatial and temporal occurrences of intermittent turbulence during CASES-99. Boundary-Layer Meteorology, 105: 329-349.
doi: 10.1023/A:1019993703820
[10]   Ding A J, Wang T, Thouret V, et al. 2008. Tropospheric ozone climatology over Beijing: analysis of aircraft data from the MOZAIC program. Atmospheric Chemistry and Physics, 8(1): 1-13.
[11]   Dufour G, Hauglustaine D, Zhang Y J, et al. 2021. Recent ozone trends in the Chinese free troposphere: role of the local emission reductions and meteorology. Atmospheric Chemistry and Physics, 21(20): 16001-16025.
[12]   Fedorovich E, Nieuwstadt F T M, Kaiser R. 2001a. Numerical and laboratory study of a horizontally evolving convective boundary layer. Part I: Transition regimes and development of the mixed layer. Journal of the Atmospheric Sciences, 58(1): 70-86.
doi: 10.1175/1520-0469(2001)058<0070:NALSOA>2.0.CO;2
[13]   Fedorovich E, Nieuwstadt F T M, Kaiser R. 2001b. Numerical and laboratory study of horizontally evolving convective boundary layer. Part II: Effects of elevated wind shear and surface roughness. Journal of the Atmospheric Sciences, 58(6): 546-560.
doi: 10.1175/1520-0469(2001)058<0546:NALSOH>2.0.CO;2
[14]   Garratt J R. 1994. Review: The atmospheric boundary layer. Earth-Science Reviews, 37(1-2): 89-134.
doi: 10.1016/0012-8252(94)90026-4
[15]   Huang J, Minnis P, Yan H, et al. 2010. Dust aerosol effect on semi-arid climate over Northwest China detected from A-Train satellite measurements. Atmospheric Chemistry and Physics, 10(14): 6863-6872.
[16]   Huang J P, Zhou X J, Wu G X, et al. 2023. Global climate impacts of land‐surface and atmospheric processes over the Tibetan Plateau. Reviews of Geophysics, 61(3): e2022RG000771, doi:10.1029/2022RG000771.
[17]   Jin L L, Li Z J, He Q, et al. 2019. Characteristic of surface-layer turbulence spectra on typical sunny days over the northern marginal zone of the Taklimakan Desert. Journal of Desert Research, 39(6): 1-12. (in Chinese)
doi: 10.7522/j.issn.1000-694X.2018.00132
[18]   Kim E R, Choi K C, Park S, et al. 2023. Turbulent characteristics in complex coastal areas assessed using BSWO observations and WRF-LES simulation results. Atmospheric Research, 289: 106756, doi:10.1016/j.atmosres.2023.106756.
[19]   Li D, Bian J C. 2015. Observation of a summer tropopause fold by ozonesonde at Changchun, China: Comparison with reanalysis and model simulation. Advances in Atmospheric Sciences, 32(10): 1354-1364.
doi: 10.1007/s00376-015-5022-x
[20]   Liang J N, Zhang L, Wang Y, et al. 2014. Turbulence regimes and the validity of similarity theory in the stable boundary layer over complex terrain of the Loess Plateau, China. Journal of Geophysical Research: Atmospheres, 119(10): 6009-6021.
doi: 10.1002/jgrd.v119.10
[21]   Liang T, Luo J L, Zhang C Y, et al. 2024. The impact of tropopause fold event on surface ozone concentration over Tibetan Plateau in July. Atmospheric Research, 298: 10715, doi:10.1016/j.atmosres.2023.107156.
[22]   Mahrt L. 2010. Variability and maintenance of turbulence in the very stable boundary layer. Boundary-Layer Meteorology, 135: 1-18.
doi: 10.1007/s10546-009-9463-6
[23]   Mehta M, Singh N, Anshumali. 2018. Global trends of columnar and vertically distributed properties of aerosols with emphasis on dust, polluted dust and smoke-inferences from 10-year long CALIOP observations. Remote Sensing of Environment, 208: 120-132.
doi: 10.1016/j.rse.2018.02.017
[24]   Meng L, Yang X H, Zhao T L, et al. 2020. Simulated regional transport structures and budgets of dust aerosols during a typical springtime dust storm in the Tarim Basin, Northwest China. Atmospheric Research, 238: 104892, doi:10.1016/j.atmosres.2020.104892c
[25]   Miao Y C, Hu X M, Liu S H, et al. 2015. Seasonal variation of local atmospheric circulations and boundary layer structure in the Beijing‐Tianjin‐Hebei region and implications for air quality. Journal of Advances in Modeling Earth Systems, 7(4): 1602-1626.
doi: 10.1002/jame.v7.4
[26]   Mills G, Sabine S, Olga L, et al. 2018. Tropospheric ozone assessment report: present-day tropospheric ozone distribution and trends relevant to vegetation. Science of the Anthropocene, 6: 47, doi:10.1525/elementa.302.
[27]   Ming H, Wang M Z, Wei M, et al. 2021. Study on the clouds detected by a millimeter-wave cloud radar over the hinterland of the Taklimakan Desert in April-June 2018. Journal of Meteorological Research, 35: 1074-1090.
doi: 10.1007/s13351-021-1023-0
[28]   Ming H, Wang M Z, Zhang J T, et al. 2022. Study on the scattering characteristics of Ka millimeter wave by dust storms. Journal of Quantitative Spectroscopy and Radiative Transfer, 277: 107998, doi:10.1016/j.jqsrt.2021.107998.
[29]   Monks P, Archibald A, Colette A, et al. 2015. Tropospheric ozone and its precursors from the urban to the global scale from air quality to short-lived climate forcer. Atmospheric Chemistry and Physics, 15(15): 8889-8973.
[30]   Muschinski A, Frehlich R G, Balsley B B. 2004. Small-scale and large-scale intermittency in the nocturnal boundary layer and the residual layer. Journal of Fluid Mechanics, 515: 319-351.
doi: 10.1017/S0022112004000412
[31]   Oke T R, Mills G, Christen A, et al. 2017. Urban Climates. Cambridge: Cambridge University Press.
[32]   Oldroyd H J, Pardyjak E R, Higgins C W, et al. 2016. Buoyant turbulent kinetic energy production in steep-slope katabatic flow. Boundary-Layer Meteorology, 161: 405-416.
doi: 10.1007/s10546-016-0184-3
[33]   Rakesh P T, Sandeepan B S, Venkatesan R, et al. 2017. Observation and numerical simulation of submesoscale motions within sea breeze over a tropical coastal site: A case study. Atmospheric Research, 198: 205-215.
doi: 10.1016/j.atmosres.2017.08.006
[34]   Ren G, Ming H, Wang J, et al. 2023. Study of haze boundary layer features based on multi-source data in Shihezi, China. Atmosphere, 14(10): 1587, doi:10.3390/atmos14101587.
[35]   Sorbjan Z, Czerwinska A. 2013. Statistics of turbulence in the stable boundary layer affected by gravity waves. Boundary-Layer Meteorology, 148(1): 73-91.
[36]   Stull R B. 1988. An Introduction to Boundary Layer Meteorology. Dordrecht: Kluwer Academic Publishers, 325-355.
[37]   Su L, Lu C S, Yuan J L, et al. 2024. Measurement report: The promotion of the low-level jet and thermal effects on the development of the deep convective boundary layer at the southern edge of the Taklimakan Desert. Atmospheric Chemistry and Physics, 24(18): 10947-10963.
[38]   Sun J L, Nappo C J, Mahrt L, et al. 2015. Review of wave‐turbulence interactions in the stable atmospheric boundary layer. Reviews of Geophysics, 53(3): 956-993.
doi: 10.1002/rog.v53.3
[39]   Sun Y L, Wang Z F, Wang L L, et al. 2025. Exploring boundary layer physics and atmospheric chemistry in megacities: insights from the Beijing 325 m meteorological tower. Advances in Atmospheric Sciences, 42(4): 713-730.
doi: 10.1007/s00376-024-4112-z
[40]   Sun Y T, Zheng X D, Bian J C, et al. 2022. Vertical distribution of summer tropospheric ozone over the northern Tibetan Plateau. Acta Meteorologica Sinica, 80(5): 806-818. (in Chinese)
[41]   Sun Y W, Yang F, Huang J P, et al. 2024. Precipitation controls on carbon sinks in an artificial green space in the Taklimakan Desert. Advances in Atmospheric Sciences, 41(12): 2300-2312.
doi: 10.1007/s00376-024-3367-8
[42]   Vogelezang D H P, Holtslag A A M. 1996. Evaluation and model impacts of alternative boundary-layer height formulations. Boundary-Layer Meteorology, 81(3): 245-269.
doi: 10.1007/BF02430331
[43]   Wang M Z, Wei W S, He Q, et al. 2016a. Summer atmospheric boundary layer structure in the hinterland of Taklimakan Desert, China. Journal of Arid Land, 8(6): 846-860.
doi: 10.1007/s40333-016-0054-3
[44]   Wang M Z, Xu X D, Xu H X, et al. 2019. Features of the deep atmospheric boundary layer over the Taklimakan Desert in the summertime and its influence on regional circulation. Journal of Geophysical Research: Atmospheres, 124(23): 12755-12772.
doi: 10.1029/2019JD030714
[45]   Wang Y J, Xu X D, Liu H Z, et al. 2016b. Analysis of land surface parameters and turbulence characteristics over the Tibetan Plateau and surrounding region. Journal of Geophysical Research: Atmospheres, 121(16): 9540-9560.
doi: 10.1002/jgrd.v121.16
[46]   Wei W, Wang M Z, Zhang H S, et al. 2019. Diurnal characteristics of turbulent intermittency in the Taklimakan Desert. Meteorology and Atmospheric Physics, 131: 287-297.
doi: 10.1007/s00703-017-0572-3
[47]   Wei Z R, Zhang H S, Ren Y, et al. 2021. Study on the characteristics of the pressure fluctuations and their contribution to turbulence kinetic energy. Atmospheric Research, 258: 105634, doi:10.1016/j.atmosres.2021.105634.
[48]   Xu D Z, Lin Y L. 2021. Impacts of irrigation and vegetation growth on summer rainfall in the Taklimakan Desert. Advances in Atmospheric Sciences, 38(11): 1863-1872.
doi: 10.1007/s00376-021-1042-x
[49]   Xu H X, Wang M Z, Wang Y J, et al. 2018. Performance of WRF large eddy simulations in modeling the convective boundary layer over the Taklimakan Desert, China. Journal of Meteorological Research, 32(6): 1011-1025.
doi: 10.1007/s13351-018-8001-1
[50]   Yang X H, He Q, Ali M, et al. 2013. Diurnal variations of saltation activity at Tazhong: the hinterland of Taklimakan Desert. Meteorology and Atmospheric Physics, 119: 177-185.
doi: 10.1007/s00703-012-0227-3
[51]   Zeng Y S, Zhang J Q, Li D, et al. 2023. Vertical distribution of tropospheric ozone and its sources of precursors over Beijing: Results from -20 years of ozonesonde measurements based on clustering analysis. Atmospheric Research, 284: 106610, doi:10.1016/j.atmosres.2023.106610.
[52]   Zhang J Q, Li D, Bian J C, et al. 2021. Long-term ozone variability in the vertical structure and integrated column over the North China Plain: results based on ozonesonde and Dobson measurements during 2001-2019. Environmental Research Letters, 16(7): 074053, doi:10.1088/1748-9326/ac109f.
[53]   Zhang L, Zhang H S, Li Q H, et al. 2022. Turbulent mechanisms for the deep convective boundary layer in the Taklimakan Desert. Geophysical Research Letters, 49(15): e2022GL099447, doi:10.1029/2022GL099447.
[54]   Zhang L, Peng Y, Li Q H, et al. 2023. Characteristics and dissimilarity of turbulent transport of heat and momentum in summer unstable atmospheric surface layer in Taklimakan Desert and its physical mechanisms. Acta Scientiarum Naturalium Universitatis Pekinensis, 59(4): 581-592. (in Chinese)
[55]   Zhang L, Zhang H S, Cai X H, et al. 2024. Physical mechanisms of deep convective boundary layer leading to dust emission in the Taklimakan Desert. Geophysical Research Letters, 51(10): e2024GL108521, doi:10.1029/2024GL108521.
[56]   Zhao C, Liu X, Leung L, et al. 2010. The spatial distribution of mineral dust and its shortwave radiative forcing over North Africa: Modeling sensitivities to dust emissions and aerosol size treatments. Atmospheric Chemistry and Physics, 10(8): 8821-8838.
[57]   Zhou T, Zhou X W, Yang Z N, et al. 2024. Transboundary transport of non-east and East Asian dust observed at Dunhuang, northwest China. Atmospheric Environment, 318: 120197, doi:10.1016/j.atmosenv.2023.120197.
[1] LI Congjuan, WANG Yongdong, LEI Jiaqiang, XU Xinwen, WANG Shijie, FAN Jinglong, LI Shengyu. Damage by wind-blown sand and its control measures along the Taklimakan Desert Highway in China[J]. Journal of Arid Land, 2021, 13(1): 98-106.
[2] DONG Zhengwu, LI Shengyu, ZHAO Ying, LEI Jiaqiang, WANG Yongdong, LI Congjuan. Stable oxygen-hydrogen isotopes reveal water use strategies of Tamarix taklamakanensis in the Taklimakan Desert, China[J]. Journal of Arid Land, 2020, 12(1): 115-129.
[3] WANG Cui, LI Shengyu, LEI Jiaqiang, LI Zhinong, CHEN Jie. Effect of the W-beam central guardrails on wind-blown sand deposition on desert expressways in sandy regions[J]. Journal of Arid Land, 2020, 12(1): 154-165.
[4] Jingxin LI, Shigong WANG, Jinhua CHU, Jiaxin WANG, Xu LI, Man YUE, Kezheng SHANG. Characteristics of air pollution events over Hotan Prefecture at the southwestern edge of Taklimakan Desert, China[J]. Journal of Arid Land, 2018, 10(5): 686-700.
[5] Minzhong WANG, Hu MING, Wen HUO, Hongxiong XU, Jiangang LI, Xingcai LI. Detecting sand-dust storms using a wind-profiling radar[J]. Journal of Arid Land, 2017, 9(5): 753-762.
[6] Fan YANG, Mamtimin ALI, Xinqian ZHENG, Qing HE, Xinghua YANG, Wen HUO, Fengchao LIANG, Shaoming WANG. Diurnal dynamics of soil respiration and the influencing factors for three land-cover types in the hinterland of the Taklimakan Desert, China[J]. Journal of Arid Land, 2017, 9(4): 568-579.
[7] WANG Minzhong, WEI Wenshou, HE Qing, YANG Yuhui, FAN Lei, ZHANG Jiantao. Summer atmospheric boundary layer structure in the hinterland of Taklimakan Desert, China[J]. Journal of Arid Land, 2016, 8(6): 846-860.
[8] JIA Wenru, ZHANG Chunlai, LI Shengyu, WANG Haifeng, MA Xuexi, WANG Ningbo. Grain size distribution at four developmental stages of crescent dunes in the hinterland of the Taklimakan Desert, China[J]. Journal of Arid Land, 2016, 8(5): 722-733.
[9] XUE Jie, LEI Jiaqiang, LI Shengyu, GUI Dongwei, MAO Donglei, ZHOU Jie. Re-evaluating the vertical mass-flux profiles of aeolian sediment at the southern fringe of the Taklimakan Desert, China[J]. Journal of Arid Land, 2015, 7(6): 765-777.
[10] CHENG Hong, HE Jiajia, XU Xingri, ZOU Xueyong, WU Yongqiu, LIU Chenchen, DONG Yifan, PAN Meihui, WANG Yanzai, ZHANG Hongyan. Blown sand motion within the sand-control system in the southern section of the Taklimakan Desert Highway[J]. Journal of Arid Land, 2015, 7(5): 599-611.
[11] XingHua YANG, Qing HE, Mamtimin ALI, Wen HUO XinChun LIU. Near-surface sand-dust horizontal flux in Tazhong—the hinterland of the Taklimakan Desert[J]. Journal of Arid Land, 2013, 5(2): 199-206.
[12] XingHua YANG, Ali MAMTIMIN, Qing HE, XinChun LIU, Wen HUO. Observation of saltation activity at Tazhong area in Taklimakan Desert, China[J]. Journal of Arid Land, 2013, 5(1): 32-41.
[13] MinZhong WANG, WenShou WEI, Qing HE, XinChun LIU, ZhongJie ZHAO. Application of wind profiler data to rainfall analyses in Tazhong Oilfield region, Xinjiang, China[J]. Journal of Arid Land, 2012, 4(4): 369-377.
[14] Li LI, XinWen XU, YongQiang SU, Wei HAN, PengFei TU. Effects of parasitic plant Cistanche deserticola on chlorophyll a fluorescence and nutrient accumulation of host plant Haloxylon ammodendron in the Taklimakan Desert[J]. Journal of Arid Land, 2012, 4(3): 342-348.
[15] XingHua YANG, XiaoLiang XU, Qing HE, Ali Mamtimin, Bo YU, ShiHao TANG. Sand flux estimation during a sand-dust storm at Tazhong area of Taklimakan Desert, China[J]. Journal of Arid Land, 2011, 3(3): 199-205.